Предмет: Алгебра,
автор: slavahillmen
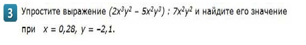
упростите выражение (2x^3y^2-5x^2y^3) : 7x^2y^2 и найдите его значение при x = 0,28, y = -2,1
Приложения:
Ответы
Автор ответа:
0
всё что зачёркнуто - сокращается
Приложения:
Автор ответа:
0
блин сюда нельзя фото кидать как быть?
Автор ответа:
0
не знаю
Автор ответа:
0
вы есть в вк?
Автор ответа:
0
или одноклассниках?
Автор ответа:
0
или в Skype?
Похожие вопросы
Предмет: История,
автор: tttadelina
Предмет: Английский язык,
автор: gagarinanatali
Предмет: Математика,
автор: svetarozko04
Предмет: Обществознание,
автор: snizok
Предмет: Математика,
автор: s1radko