Предмет: Алгебра,
автор: vlad2319923
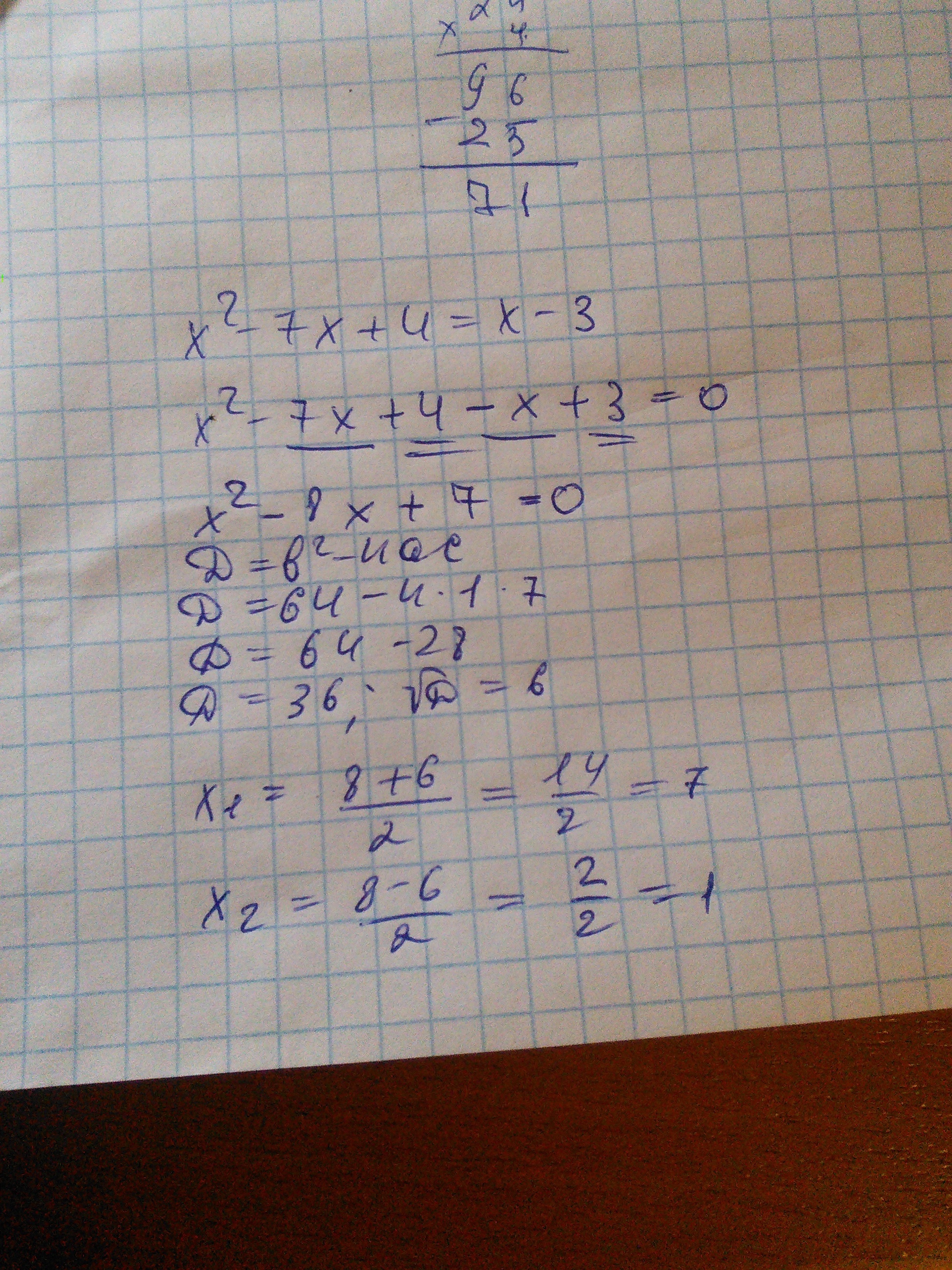
помогите решаить пж log_8(x^2-7x+4)=log_8(x-3)
_ значение логорифма
^степень
Ответы
Автор ответа:
0
Забудь про log_8 и вычислить корни через дискриминант
Приложения:
Автор ответа:
0
я вижу ты знаешь как делать? поможешь ещё ?
Автор ответа:
0
Ну давай
Автор ответа:
0
1)log_3(x-1)+log_3(x+3)=1 2)log_5(x+1)-log_5(1-x)=log_2(2x+3) вот
Автор ответа:
0
это первый и второй
Автор ответа:
0
пример
Похожие вопросы
Предмет: Алгебра,
автор: KeniKseni07
Предмет: Литература,
автор: tatamakonstantin1
Предмет: История,
автор: absbbbs
Предмет: Обществознание,
автор: pelagea2002
Предмет: История,
автор: marosipova55