Предмет: Алгебра,
автор: MrLares
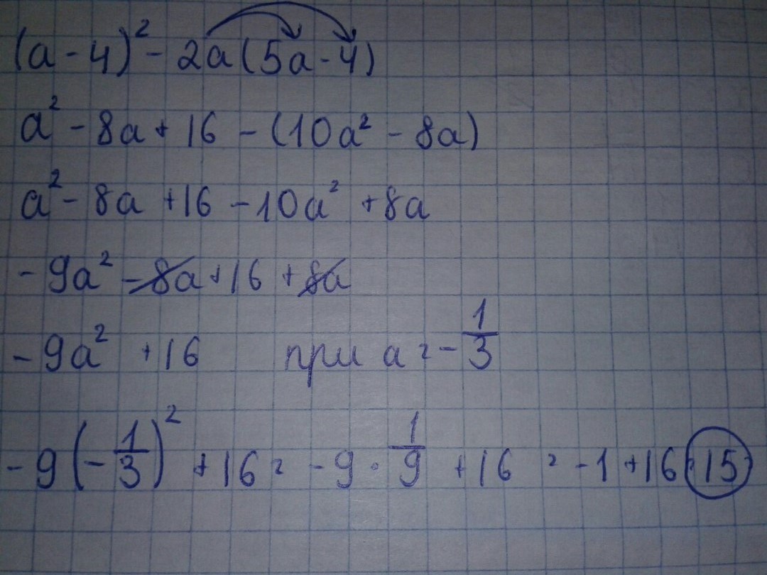
найдите значение выражения (а-4)во второй степени -2а(5а-4) при а=-1:3
Ответы
Автор ответа:
0
Надеюсь все правильно и понятно
Удачи~
Удачи~
Приложения:
Похожие вопросы
Предмет: Алгебра,
автор: ppaka4728
Предмет: Другие предметы,
автор: kkkktktktt
Предмет: Информатика,
автор: Kreslinameow
Предмет: Математика,
автор: gs82
Предмет: Физика,
автор: milona2000