Предмет: Алгебра,
автор: Akella7773
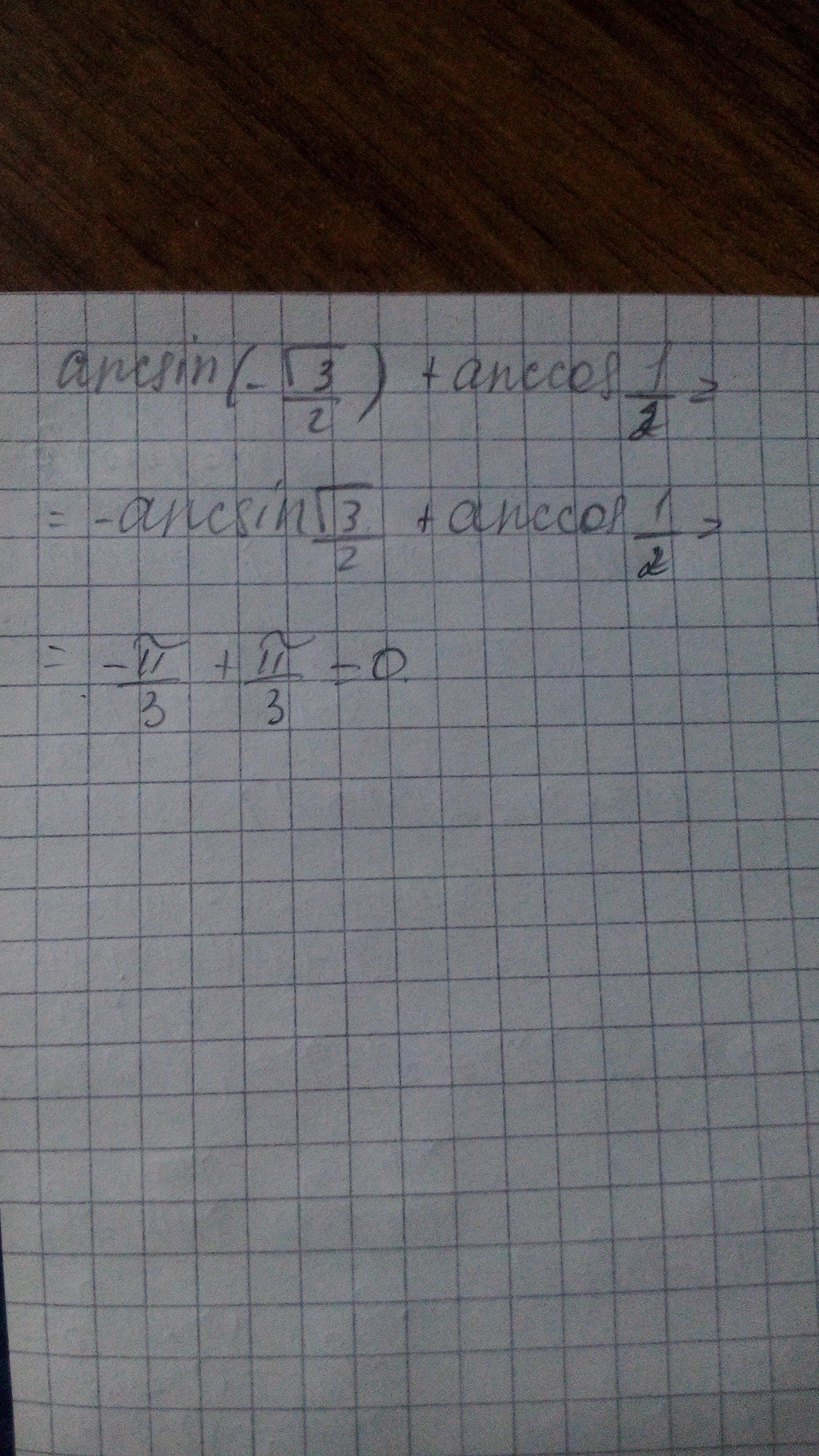
вычислите arcsin - корень из 3/2+arccos1/2
Ответы
Автор ответа:
0
Смотри ответ здесь... :
Приложения:
Автор ответа:
0
по подробней можно расписать я то знаю но вот училка придирается тип подробно научись писать
Автор ответа:
0
Это и есть подробно
Автор ответа:
0
ясн
Похожие вопросы
Предмет: Математика,
автор: lazarenkoula4
Предмет: Русский язык,
автор: SUyangalyankhua
Предмет: Литература,
автор: Аноним
Предмет: Алгебра,
автор: sequenz