Предмет: Математика,
автор: Epp023511
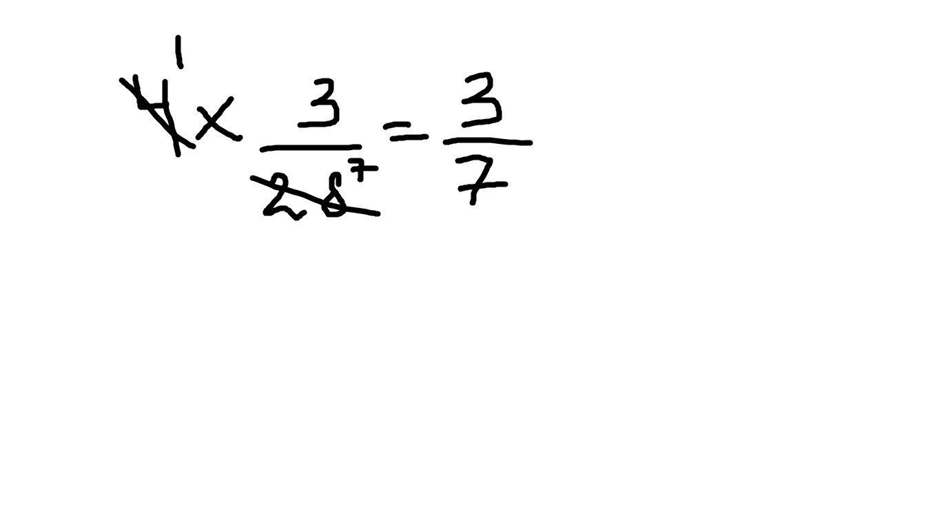
Выполните умножение 4*3/28
пожалуйста
Ответы
Автор ответа:
0
Смотри фото, так все кратко
Приложения:
Автор ответа:
0
4/1 * 3/28=3/7
Автор ответа:
0
без разницы
Автор ответа:
0
Если человек хорошо вычисляет,ему не нужны лишние действия
Автор ответа:
0
4*3/28=3/7 вот и всё
:)
:)
Приложения:
Автор ответа:
0
спасибо большое
Похожие вопросы
Предмет: Қазақ тiлi,
автор: balpashova1980
Предмет: Литература,
автор: Аноним
Предмет: Математика,
автор: ga234662p7ua4f
Предмет: Литература,
автор: ilgarjavadov
Предмет: Литература,
автор: palyarushpasha