Предмет: Математика,
автор: MarkTishman
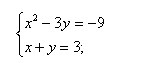
Решите систему уравнений
Приложения:
Ответы
Автор ответа:
0
y=3-x y1=3-(-6)=3+6=9
x^2-3(3-x)=9 y2=3-3=0
x^2-9+3x-9=0
x^2+3x-18=0
x1+x2=-3
x1×x2=-18
x1=-6 x2=3
ОТВЕТ:(-6;9),(3;0)
x^2-3(3-x)=9 y2=3-3=0
x^2-9+3x-9=0
x^2+3x-18=0
x1+x2=-3
x1×x2=-18
x1=-6 x2=3
ОТВЕТ:(-6;9),(3;0)
Автор ответа:
0
правильно было хоть
Автор ответа:
0
вроде ответы совпадают с ответом другого пользователя
Автор ответа:
0
всегда пожалуйста
Автор ответа:
0
это мы сегодня проходили
Автор ответа:
0
Удачи вам!
Автор ответа:
0
Приветствую Вас!





или

Ответ:(0;3); (-3;6)
Ответ:(0;3); (-3;6)
Автор ответа:
0
Спасибо!
Похожие вопросы
Предмет: Русский язык,
автор: urhiaesbosynova
Предмет: Английский язык,
автор: stefanzai2008
Предмет: Математика,
автор: yliazapyskalova1983
Предмет: Алгебра,
автор: TanyaschaVyrodi
Предмет: Математика,
автор: pakhomovsashok