Предмет: Математика,
автор: rashapa
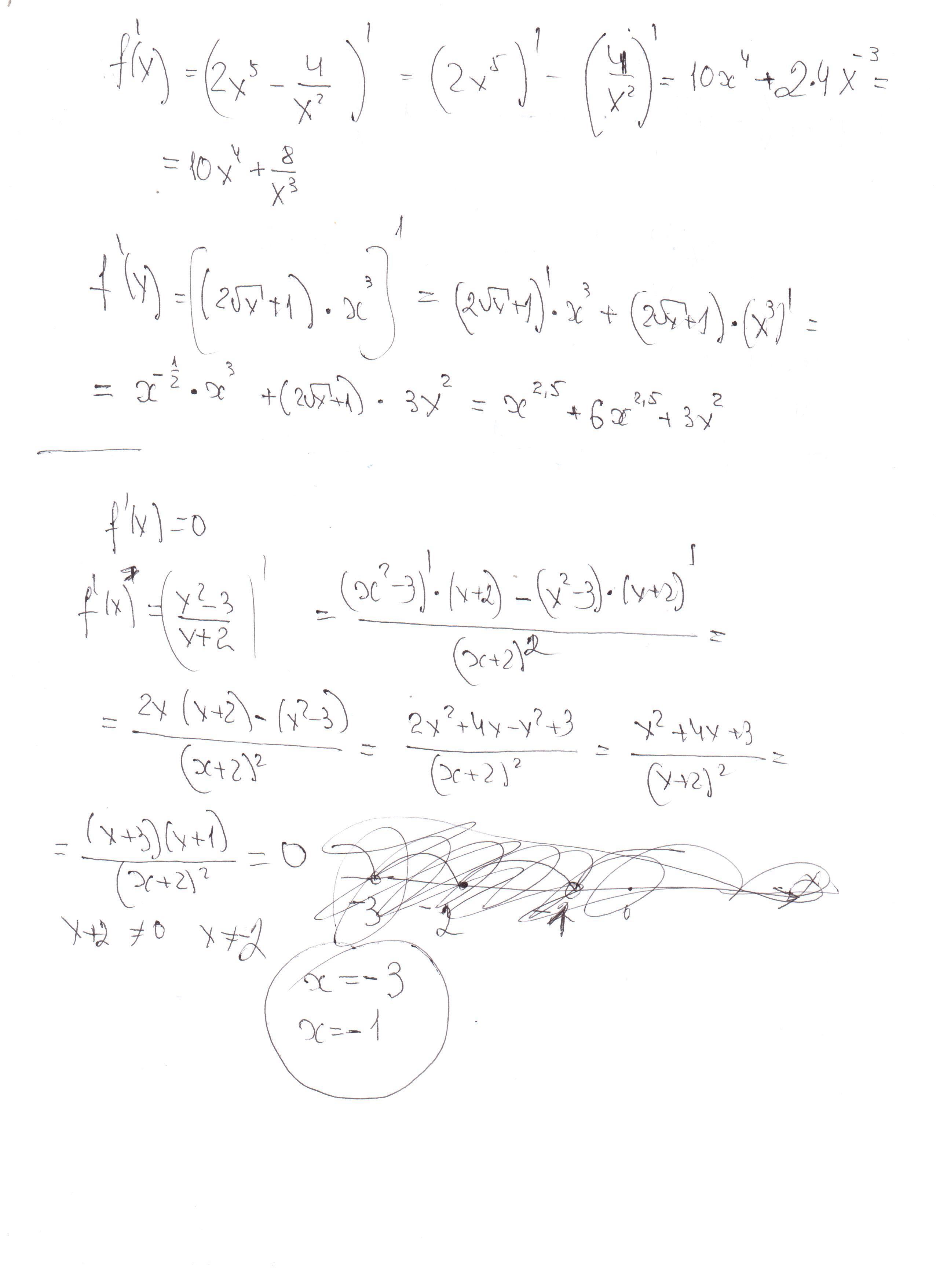
Решите пожалуйста 1 вариант
2 и 3 задание
Приложения:
Ответы
Автор ответа:
0
Производные . Файл приложен. Прошу прощение за почерк.
Приложения:
Похожие вопросы
Предмет: Английский язык,
автор: platcrstbav
Предмет: Французский язык,
автор: aboba4761
Предмет: Биология,
автор: Аноним
Предмет: Физика,
автор: domakar
Предмет: Математика,
автор: andreeva898