Предмет: Алгебра, автор: MrFlomingo

Решите систему уравнений

Приложения:

Ответы

Автор ответа: Tihon88
0
1) выразим из первого уравнения 
-у=-8-2х
у=8+2х
подставляем это значение во второе уравнение и получается

Приложения:
Автор ответа: amazonka007
0
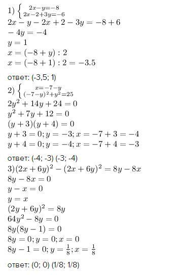
1)  left { {{2x-y=-8} atop {2x-2+3y=-6}} right.  \ 2x-y-2x+2-3y=-8+6 \ -4y=-4 \ y=1 \ x=(-8+y):2 \ x=(-8+1):2=-3.5 \
ответ: (-3,5; 1)
2)  left { {{x=-7-y} atop {(-7-y)^2+y^2=25}} right.  \ 2y^2+14y+24=0 \ y^2+7y+12=0 \ (y+3)(y+4)=0 \ y+3=0; y=-3; x=-7+3=-4 \ y+4=0; y=-4; x=-7+4=-3 \
ответ: (-4; -3) (-3; -4)
3) (2x+6y)^2-(2x+6y)^2=8y-8x \ 8y-8x=0 \ y-x=0 \ y=x \ (2y+6y)^2=8y \ 64y^2-8y=0 \ 8y(8y-1)=0 \ 8y=0; y=0; x=0 \ 8y-1=0; y= frac{1}{8}; x= frac{1}{8} \
ответ: (0; 0) (1/8; 1/8)
5) x^2=2y+1 \ 
2y+1+15=2y+y^2 \ y^2-16=0 \ y^2=16 \ y=4; -4 \ x^2=2*(-4)+1=-7  \ 
 
- не является корнем
x^2=2*4+1=9 \ x=3; -3
ответ: (3; 4) (3; -4)
Приложения:
Похожие вопросы
Предмет: Алгебра, автор: piospink38