Предмет: Математика,
автор: Артур11175757358
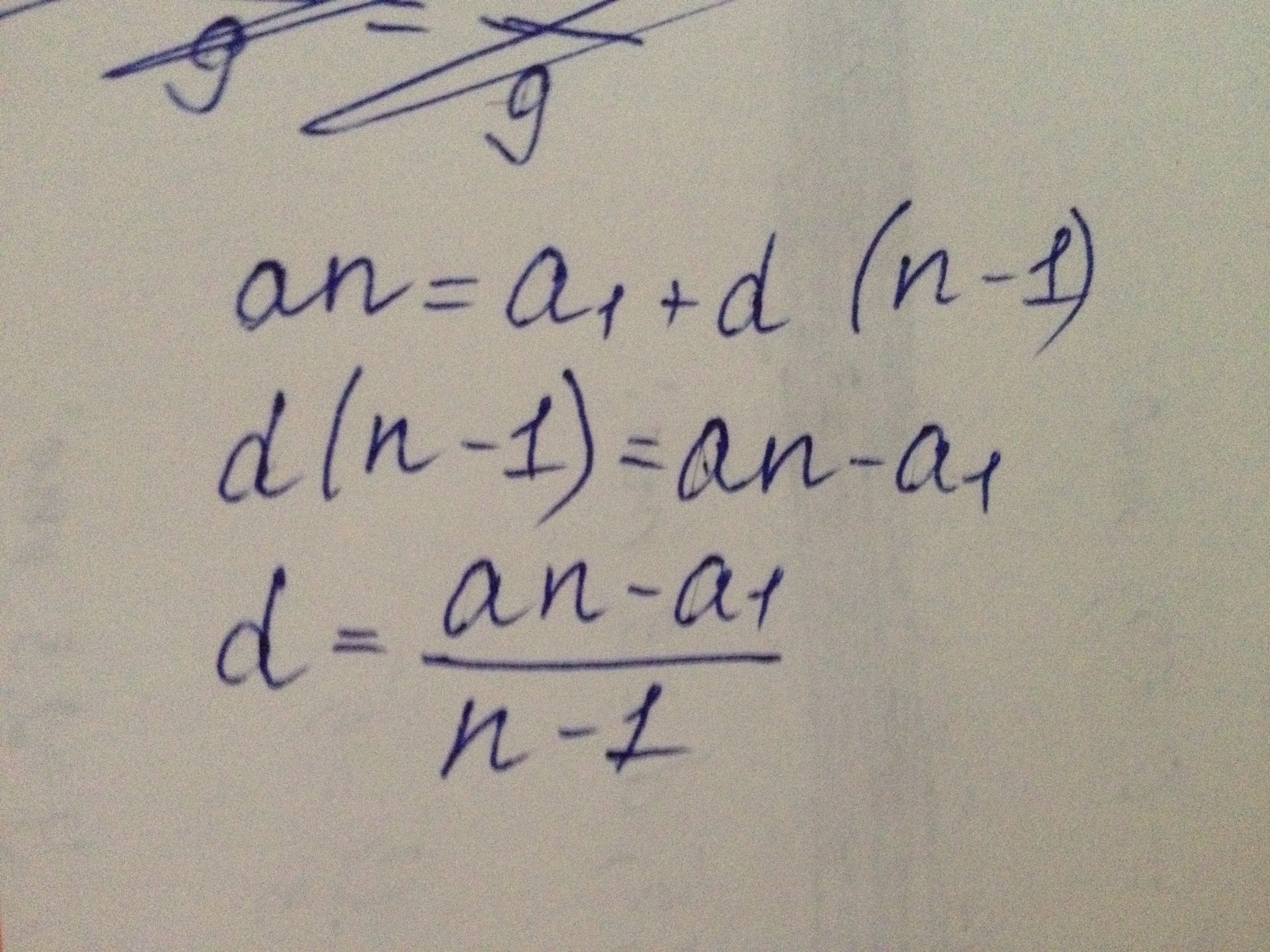
выразите переменную d из формулы an=a1+d(n-1)
Ответы
Автор ответа:
0
Решение во вложении.
Приложения:
Автор ответа:
0
спасибо бро)
Автор ответа:
0
Не за что ;)
Похожие вопросы
Предмет: Английский язык,
автор: liadiy142
Предмет: Другие предметы,
автор: papugasasha47
Предмет: Английский язык,
автор: nigorasamen
Предмет: Химия,
автор: Anuta0005
Предмет: Алгебра,
автор: rygalova