Предмет: Математика,
автор: anechk10
1)sin^2x+sinx-2=0
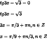
2)tg3x-корень из 3=0
Помогите пожалуйста)))
Ответы
Автор ответа:
0
1) Пусть sinx=y, тогда
y^2+y-2=0
По теореме Виета
y1+y2=-b=1
y1*y2=c=-2
y1=-1
y2=2
Обратная подстановка
sinx=-1
x1=-П/2 + 2Пk, kЄZ
sinx=2 - посторонний корень
вроде так
y^2+y-2=0
По теореме Виета
y1+y2=-b=1
y1*y2=c=-2
y1=-1
y2=2
Обратная подстановка
sinx=-1
x1=-П/2 + 2Пk, kЄZ
sinx=2 - посторонний корень
вроде так
Приложения:
Автор ответа:
0
Спасибо))
Похожие вопросы
Предмет: Қазақ тiлi,
автор: saginbaevamir010
Предмет: Другие предметы,
автор: viktor2000monko
Предмет: Қазақ тiлi,
автор: vi9167777
Предмет: Биология,
автор: howtofake
Предмет: Математика,
автор: Троля