Предмет: Алгебра,
автор: Анюта20
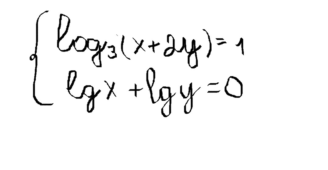
ОЧЕНЬ СРОЧНО!ПОМОГИТЕ)Решите логарифмическую систему уравнений на фото
Приложения:
Ответы
Автор ответа:
0
ОДЗ: x>0 и у>0

Похожие вопросы
Предмет: Окружающий мир,
автор: violettamalenkona3
Предмет: Другие предметы,
автор: Pomogit21
Предмет: Математика,
автор: adinadostemesova61
Предмет: Математика,
автор: anyakalinina2