Предмет: Алгебра,
автор: лерочка20000
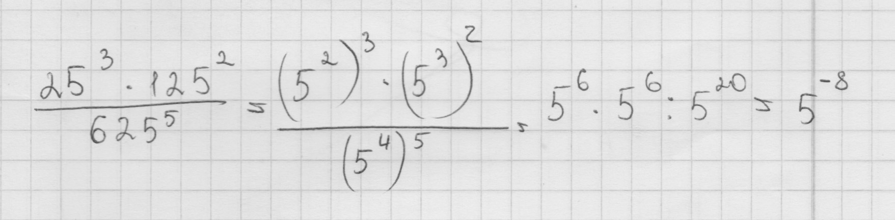
25^3×125^2/625^5
Ответ в степени.
Заранее спасибо
Ответы
Автор ответа:
0
Решение на фотографии...............
Приложения:
Автор ответа:
0
(5^6 * 5^6)/625^5= (5^6 * 5^6)/5^20 = (5^12)/(5^20)
1/5^8
или 5^(-8)
1/5^8
или 5^(-8)
Приложения:
Похожие вопросы
Предмет: Математика,
автор: Vanyshka25
Предмет: Русский язык,
автор: HELSING123
Предмет: Алгебра,
автор: daryakosenko
Предмет: Физика,
автор: artemz1104
Предмет: Математика,
автор: kasia1982