Предмет: Алгебра,
автор: dezdez
С решением пожалуйста
Приложения:
Ответы
Автор ответа:
0
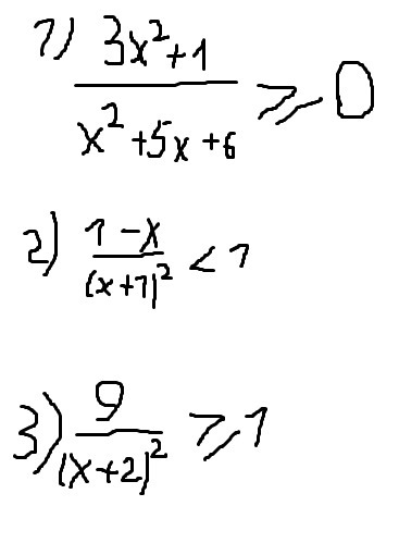
Дробь >= 0 если числитель и знаменатель имеют одинаковые знаки
Тк 3х^2+1>0 при любых Х то решаем только
Х^2 +5х+6>0
Х1= -3 Х2= -2
(+). (-). (+)
------(-3)-------(-2)-------
Х€(-~ ; -3) обьед (-2;+~)
Дробь < 1 значит она правильная те числитель < знаменателя
1-Х<(Х+1)^2
1-Х<х^2 +2х +1
1-Х-х^2 -2х-1<0
-х^2 -3х <0
Х^2+3х>0
Х(х+3)>0
Х(Х+3)=0
Х=0. Х= -3
(+). (-). (+)
-------(-3)--------(0)--------
Х€(-~; -3) обьед((0;+~)
3 пример при любых Х те Х€( -~; +~)
Тк 3х^2+1>0 при любых Х то решаем только
Х^2 +5х+6>0
Х1= -3 Х2= -2
(+). (-). (+)
------(-3)-------(-2)-------
Х€(-~ ; -3) обьед (-2;+~)
Дробь < 1 значит она правильная те числитель < знаменателя
1-Х<(Х+1)^2
1-Х<х^2 +2х +1
1-Х-х^2 -2х-1<0
-х^2 -3х <0
Х^2+3х>0
Х(х+3)>0
Х(Х+3)=0
Х=0. Х= -3
(+). (-). (+)
-------(-3)--------(0)--------
Х€(-~; -3) обьед((0;+~)
3 пример при любых Х те Х€( -~; +~)
Автор ответа:
0
В 3 примере сморозила!
Дробь >1 те неправильная значит числитель > знаменател
9>x^2 +4x +4
X^2+4x -5<0
X= -5. X= 1
(+). (-). (+)
-------(-5)-------(1)-------
X€(-5;1)
Дробь >1 те неправильная значит числитель > знаменател
9>x^2 +4x +4
X^2+4x -5<0
X= -5. X= 1
(+). (-). (+)
-------(-5)-------(1)-------
X€(-5;1)
Автор ответа:
0
Комментарий учтён?
Похожие вопросы
Предмет: Физика,
автор: 2354894
Предмет: Литература,
автор: Аноним
Предмет: Биология,
автор: 97056
Предмет: Математика,
автор: Машамашулямария