Предмет: Алгебра,
автор: СоняКириллова
помогите пожалуйста!!!
Приложения:
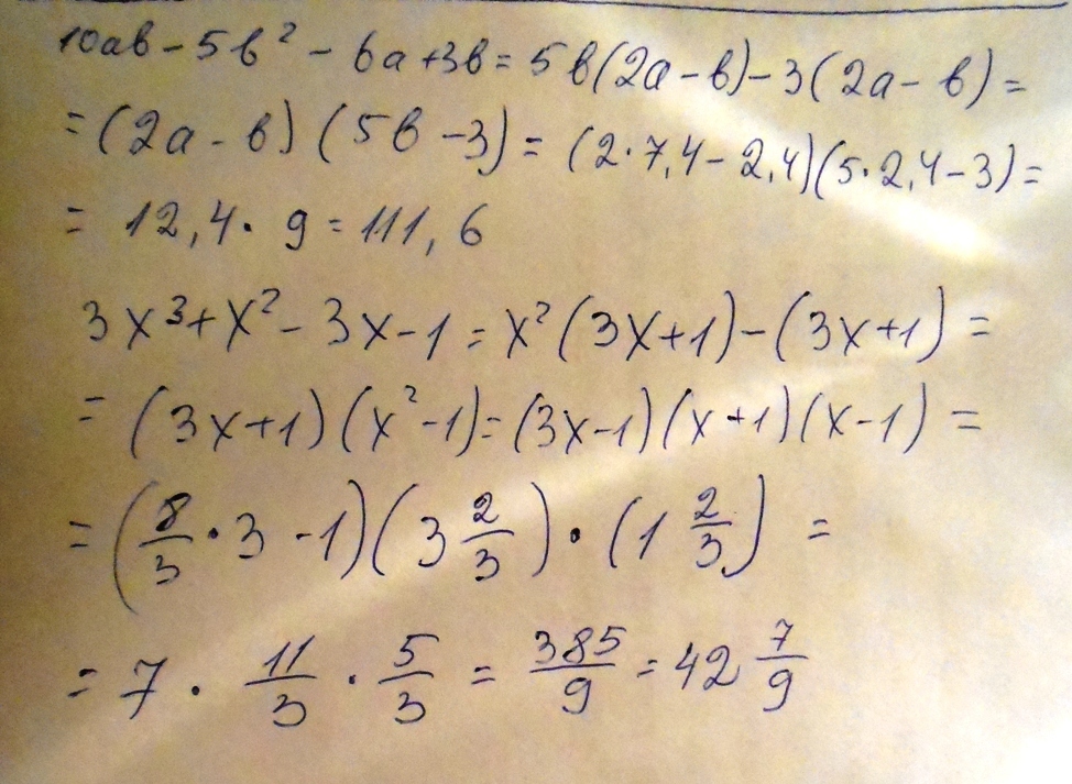
Ответы
Автор ответа:
0
!!!!!!!!!!!!!!!!!!!!!!!!!!!!!!!
Приложения:
Похожие вопросы
Предмет: История,
автор: Jesjshdb
Предмет: Русский язык,
автор: albinaumatkylova
Предмет: География,
автор: sausage08
Предмет: Математика,
автор: egar253
Предмет: Математика,
автор: hfjfjhgjjgv