Предмет: Алгебра,
автор: yurachizhma
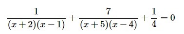
решите кто-нибудь
срочно надо
Приложения:
Ответы
Автор ответа:
0
решение будет проще, если
сделать удобную замену...
сделать удобную замену...
Приложения:
Похожие вопросы
Предмет: Математика,
автор: anelanurzanova19
Предмет: Русский язык,
автор: begzatrita8
Предмет: История,
автор: dianashimonova2008
Предмет: Математика,
автор: Pifagorleks