Предмет: Алгебра,
автор: pankeevv
решите отмеченное галочками
Приложения:
Ответы
Автор ответа:
0
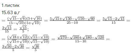
1 листик
15.63 в,г


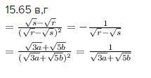
15.65 в,г


15.40 в,г


15.63 в,г
15.65 в,г
15.40 в,г
Приложения:
Похожие вопросы
Предмет: Математика,
автор: reseypl
Предмет: Английский язык,
автор: Аноним
Предмет: Математика,
автор: fettsov10
Предмет: Математика,
автор: lena21091983