Предмет: Алгебра, автор: sofiamilkovich

Решите срочно! 25 БАЛЛОВ. Заранее спасибо)
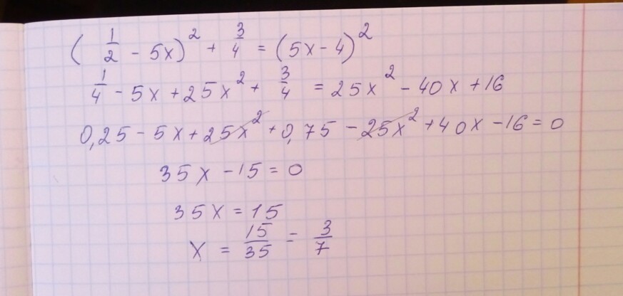
(1/2-5x)^2+3/4=(5X-4)^2

Ответы

Автор ответа: Кариночка78
0
ответ ответ ответ ответ ответ
Приложения:
Автор ответа: sofiamilkovich
0
Спасибо)
Похожие вопросы