Предмет: Алгебра,
автор: victoriareih
Помогите решить, спасибо заранее! Нужно 2,3,6,7,8,9,10,11,12,13
Приложения:
Ответы
Автор ответа:
0
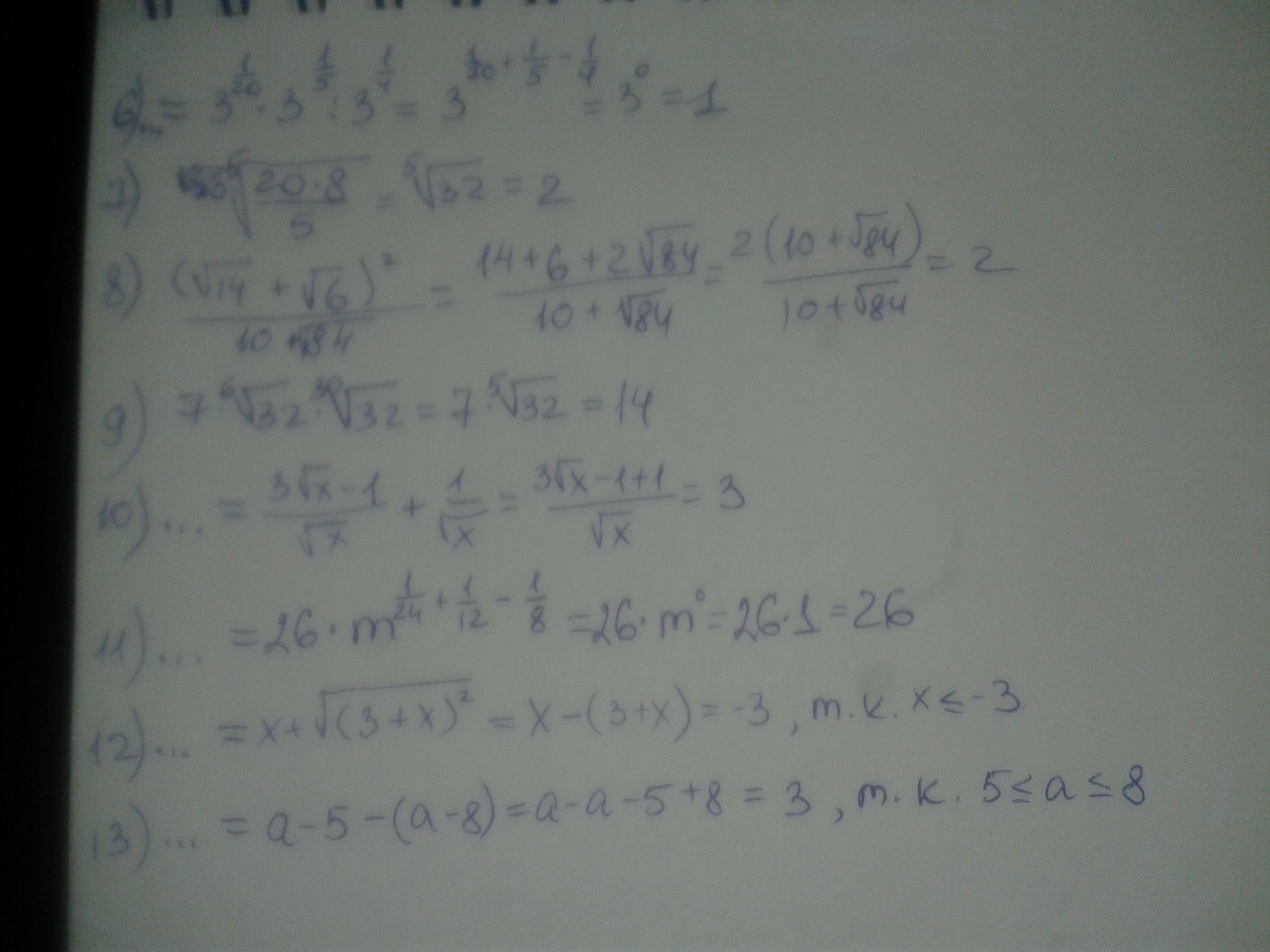
расписывать детальное решение - объемно, вариант ответов :
2) ... = 3,92
3) ... = 1
6) ... = 1
7) ... = 2
8) ... = 2
9) ... = 14
10) ... = 3
11) ... = 26
12) ... = -3
13) ... = 3
2) ... = 3,92
3) ... = 1
6) ... = 1
7) ... = 2
8) ... = 2
9) ... = 14
10) ... = 3
11) ... = 26
12) ... = -3
13) ... = 3
Приложения:
Автор ответа:
0
Спасибо большое! Извините, а не могли бы вы с 6 по 13 написать решение, спасибо, ещё раз!
Автор ответа:
0
ой, спасибо... так и свою ошибочку заметила)))
Автор ответа:
0
Спасибо большое!
Автор ответа:
0
2) = 49*4/25=7,84
3)= 15-14=1
6) ,7 я опять степени не вижу, смыты
8) = 14+2√84+6/10+√84=20+2√84/10+√84=2(10+√84)/10+√84=2
10) = (3√х-1)√х/х+√х/х=(3х-√х+√х)/х=3х/х=3
3)= 15-14=1
6) ,7 я опять степени не вижу, смыты
8) = 14+2√84+6/10+√84=20+2√84/10+√84=2(10+√84)/10+√84=2
10) = (3√х-1)√х/х+√х/х=(3х-√х+√х)/х=3х/х=3
Приложения:
Автор ответа:
0
ой, №2 = 49*2/25=3,92
Автор ответа:
0
Спасибо большое :3
Похожие вопросы
Предмет: Химия,
автор: evabeloglazova6
Предмет: Математика,
автор: Аноним
Предмет: Қазақ тiлi,
автор: alibekbro19
Предмет: Математика,
автор: denisovaolesia5
Предмет: Математика,
автор: andrei51718