Предмет: Химия,
автор: yavizefus
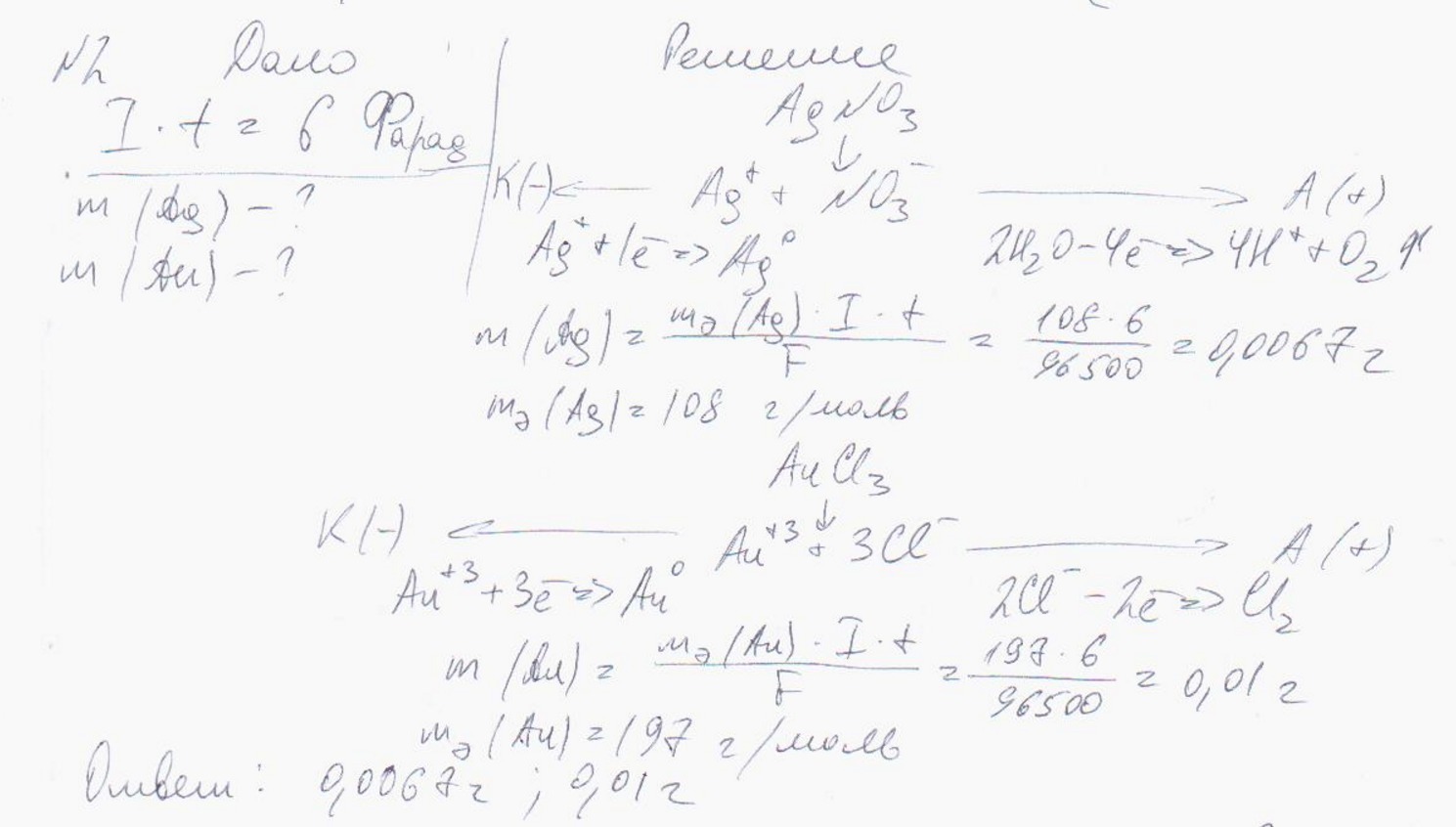
Через раствор электролита пропущено 6 Фарад электричества.
Сколько при этом выделилось на катоде моль и моль-эквивалентов
а) серебра – из AgNO₃
б) золота – из AuCl₃
Если сможете - напишите решение поподробнее. Заранее спасибо!!
Ответы
Автор ответа:
0
Вот решение, пользуйтесь
Приложения:
Автор ответа:
0
Спасибо!!
Похожие вопросы
Предмет: Другие предметы,
автор: alimzansmailov728
Предмет: История,
автор: UNaruto7
Предмет: Английский язык,
автор: Аноним
Предмет: Математика,
автор: variavita