Предмет: Алгебра,
автор: saygid2000
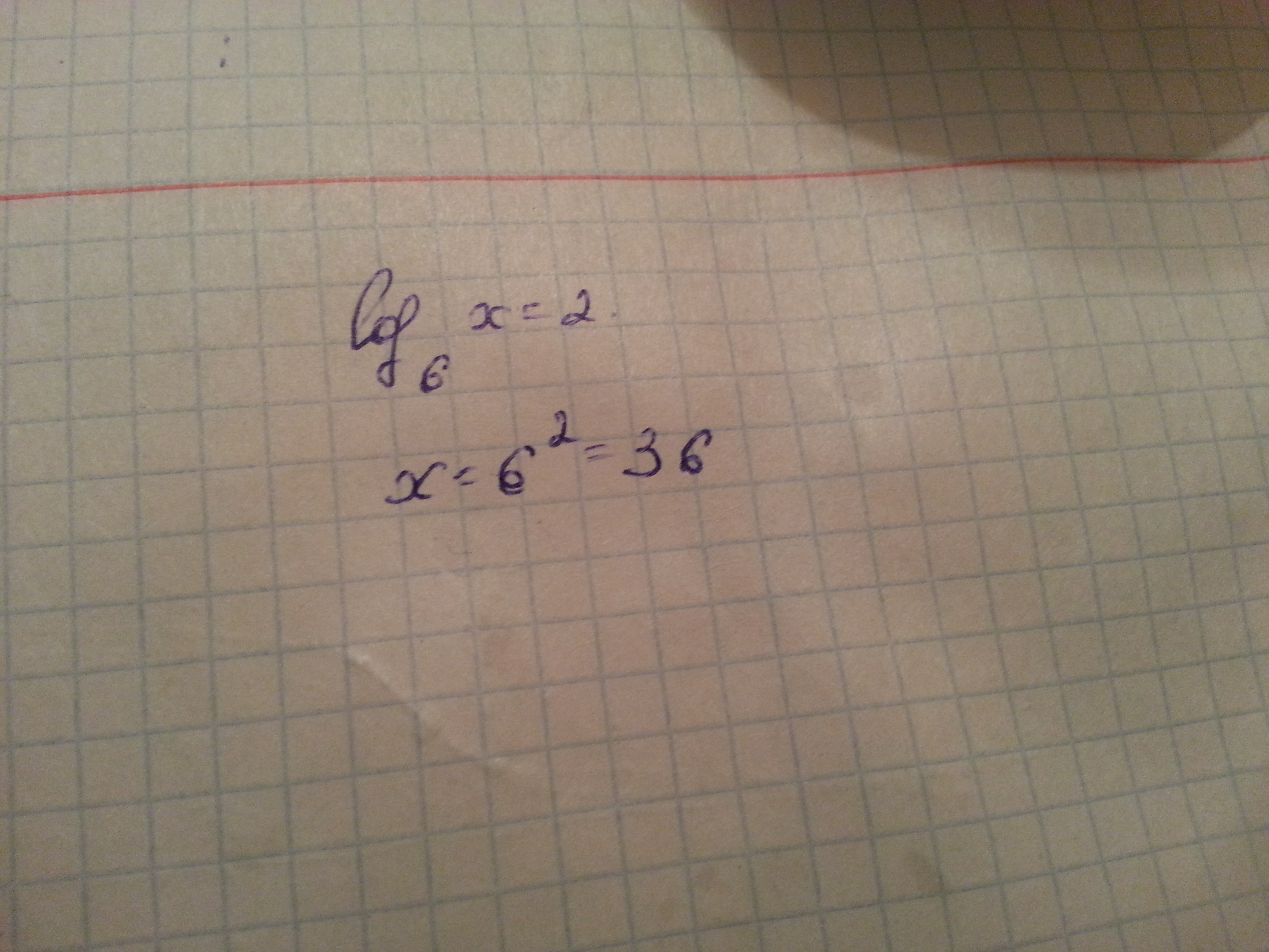
как решить логарифмическое уравнение log6 x=2
Ответы
Автор ответа:
0
Ответ ответ ответ ответ ответ ответ
Приложения:
Похожие вопросы
Предмет: Алгебра,
автор: petro8391
Предмет: Қазақ тiлi,
автор: erkezhananuar
Предмет: Математика,
автор: temirgalievaakmarala
Предмет: Математика,
автор: Аноним
Предмет: Обществознание,
автор: leleana