Предмет: Алгебра, автор: wolf2003197

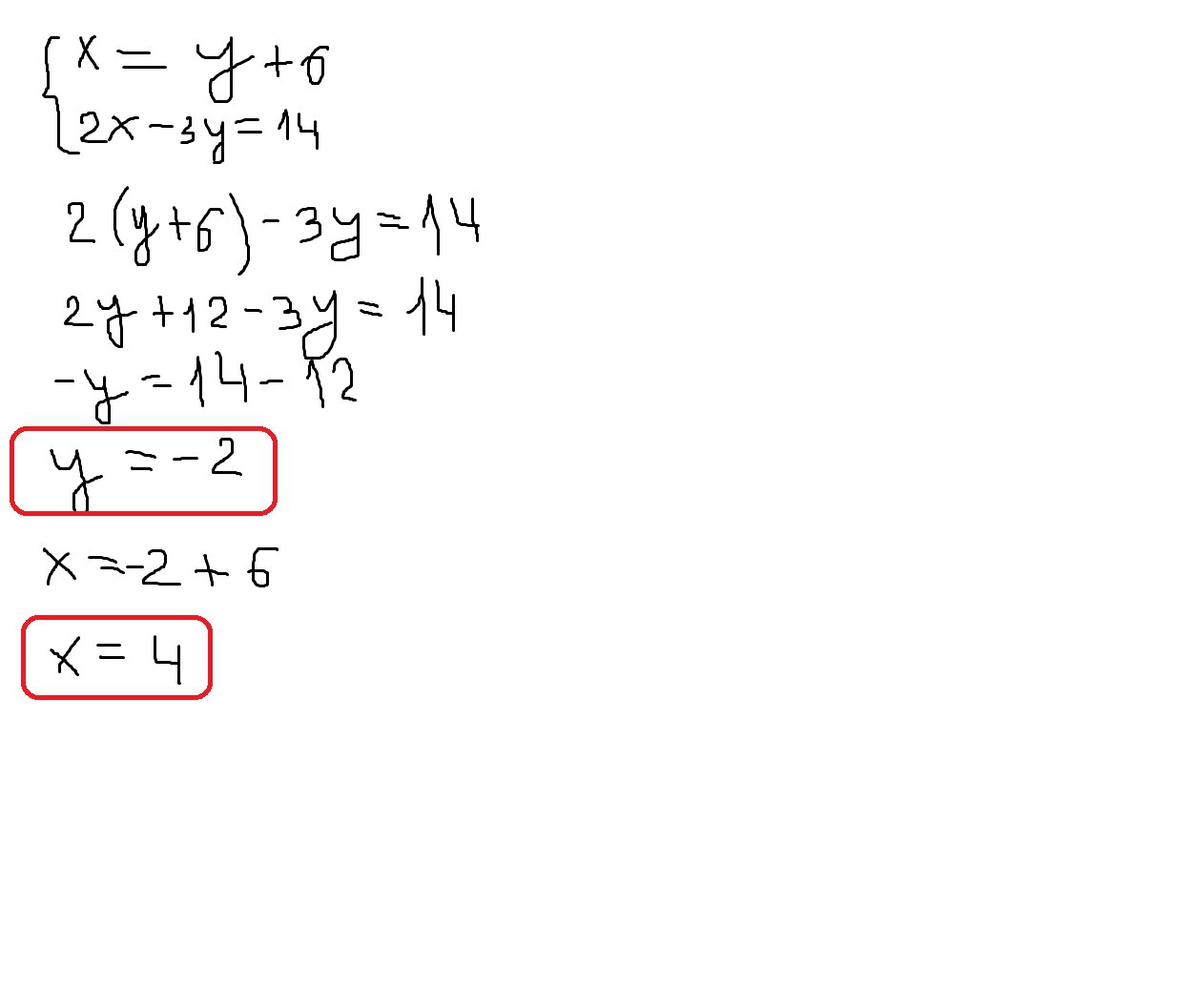
x=y+6
2x-3y=14
решите методом подстановки систему уравнений

Ответы

Автор ответа: KeilorN
0
Ответ смотрите во вложении 
Приложения:
Похожие вопросы
Предмет: Английский язык, автор: Uashi
Предмет: Русский язык, автор: nsuseva
Прочитайте текст.
(1)Тропы – сердцевина художественной речи, именно благодаря им поэт может увидеть и подчеркнуть новые, неожиданные связи мира. (2)Ещё Аристотель писал, что невозможно научить поэта создавать метафоры, это знак таланта, поскольку для создания удачной метафоры необходимо подмечать неожиданные черты сходства.
(3)В самом общем смысле слова тропы – это слова и выражения, употребляемые в переносном значении. (4)Существует и более широкое, общеэстетическое понимание тропов. (5)Троп – это любой лексический или лексико-синтаксический приём, делающий речь более выразительной.

Укажите варианты ответов, в которых даны верные суждения. Запишите номера ответов.
1) Предложение 1 бессоюзное сложное, в первой части которого – составное именное сказуемое.
2) В сложноподчинённом предложении 2 одна из его частей – придаточное причины.
3) Простое предложение 3 осложнено обособленным распространённым обстоятельством.
4) В предложении 4 составное глагольное сказуемое.
5) В предложении 5 простое глагольное сказуемое.