Предмет: Алгебра,
автор: ира793
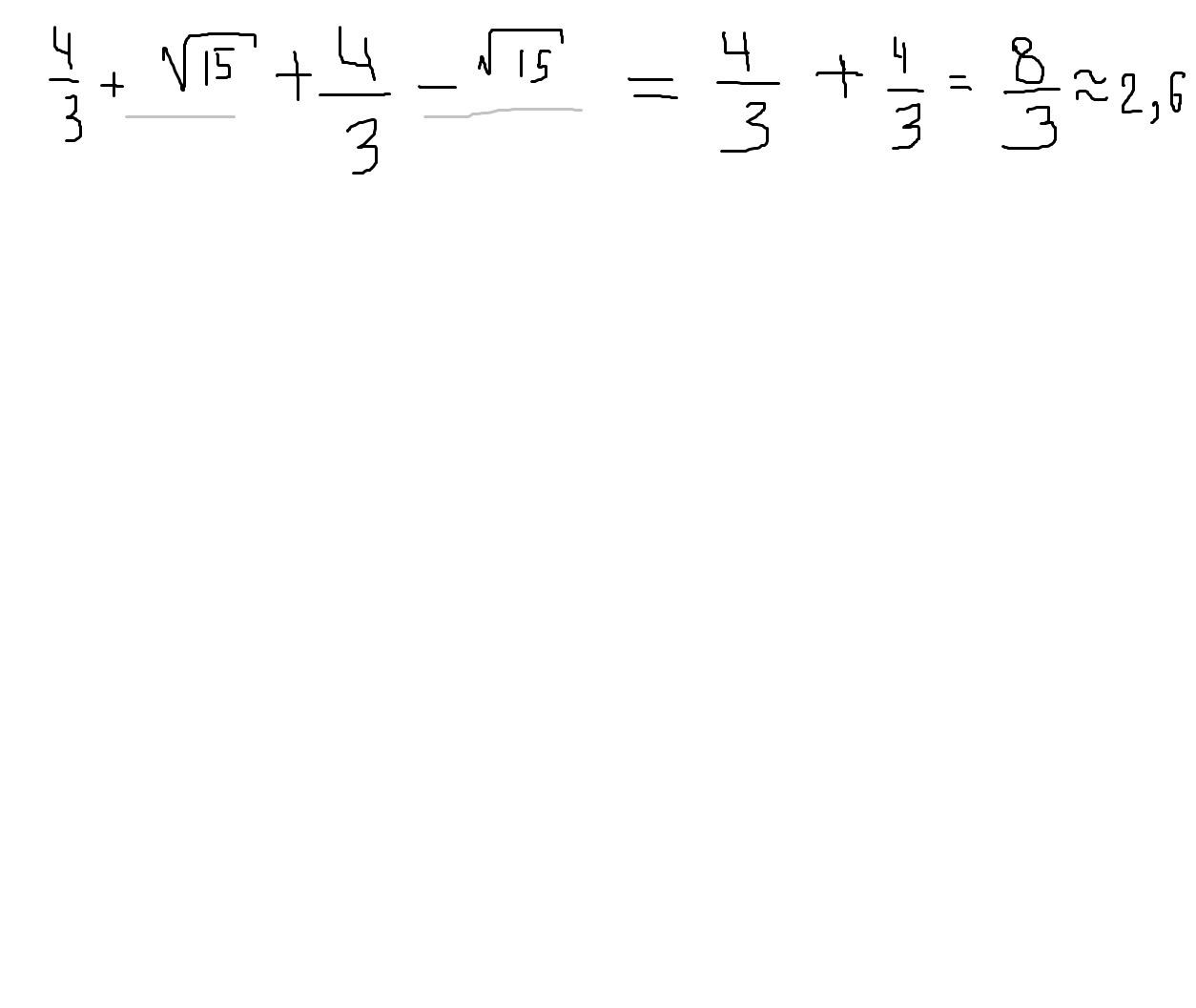
найдите значение выражения 4/3+√15 + 4/3-√15
Ответы
Автор ответа:
0
Ответ смотрите во вложении
Приложения:
Похожие вопросы
Предмет: Химия,
автор: allo20182808th
Предмет: Английский язык,
автор: kushpinskasvitlana
Предмет: Литература,
автор: melaniamorgunova90
Предмет: Математика,
автор: Filusa