Предмет: Геометрия,
автор: Demon99999
ПОМОГИТЕ СРОЧНО РЕШИТЬ ТОЛЬКО 3!!!! 5 МИНУТ ОСТАЛОСЬ!!!!
Приложения:
Ответы
Автор ответа:
0
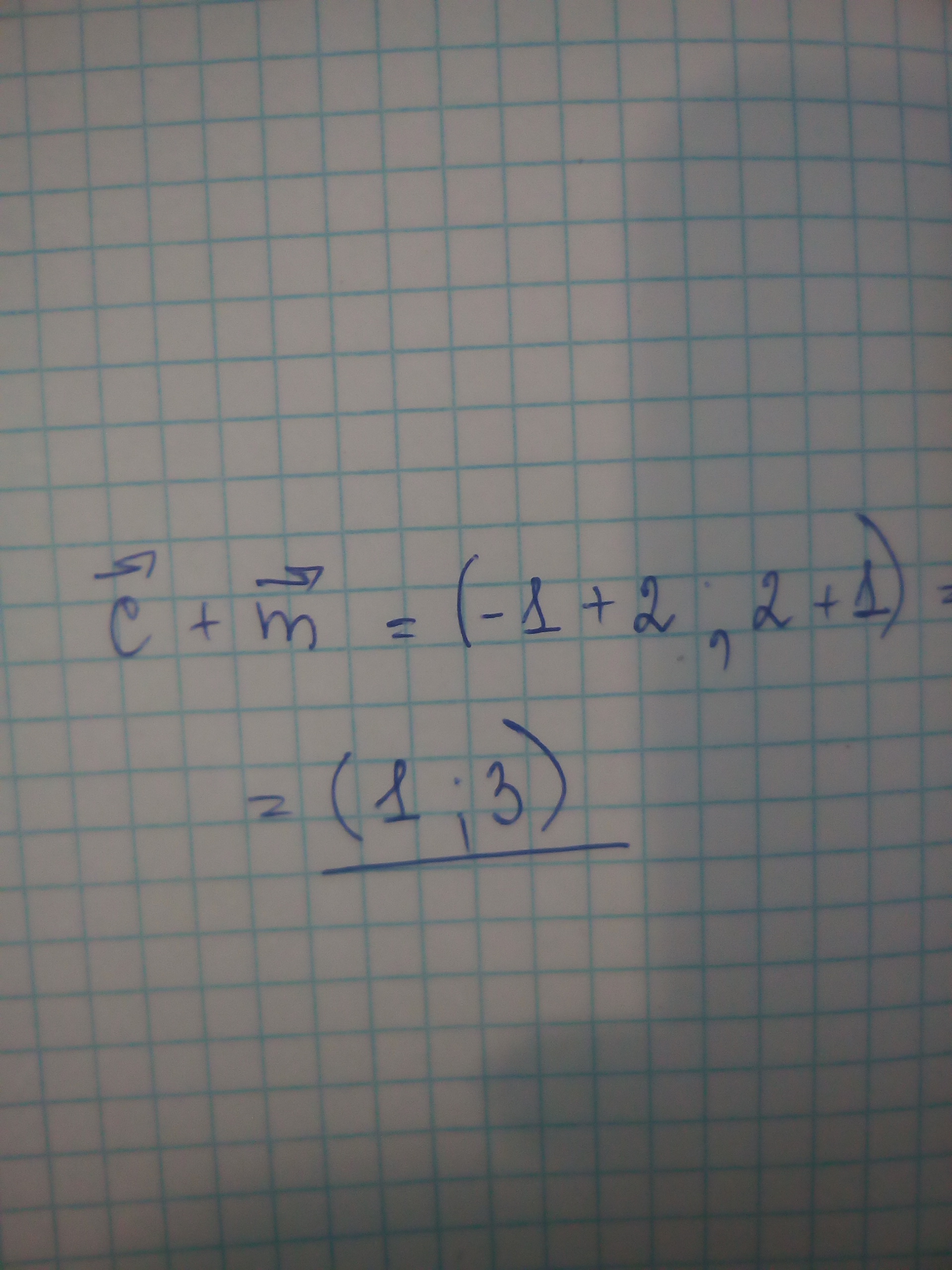
вот ответ на фотке, успевай
Приложения:
Похожие вопросы
Предмет: Математика,
автор: natali2010914
Предмет: История,
автор: kamilanikiforova9
Предмет: Українська мова,
автор: Аноним
Предмет: География,
автор: pro100frost1k
Предмет: Математика,
автор: vealetta