Предмет: Алгебра,
автор: gygl24
оченььььь надоооо!
помогите....
Приложения:
Ответы
Автор ответа:
0
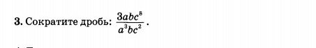
сокращаем дробь на аbc^2.
получаем
3с^6/а^2
получаем
3с^6/а^2
Похожие вопросы
Предмет: Математика,
автор: soni042010
Предмет: Алгебра,
автор: dimaSmail
Предмет: Математика,
автор: olesyaray8124
Предмет: Математика,
автор: 123123respekt