Предмет: Алгебра,
автор: gdy3tdjhcy
решите пожалуйста 3 задания срочно
Приложения:
Ответы
Автор ответа:
0
1. а)

б)

в)

2. а)

б)

в)

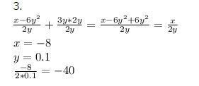
3.


б)
в)
2. а)
б)
в)
3.
Приложения:
Похожие вопросы
Предмет: Алгебра,
автор: bahriddinovafarangis
Предмет: Математика,
автор: Ningguang
Предмет: Психология,
автор: morokhovakkkkk
Предмет: Обществознание,
автор: pararina2003