Предмет: Геометрия,
автор: klimenkol21
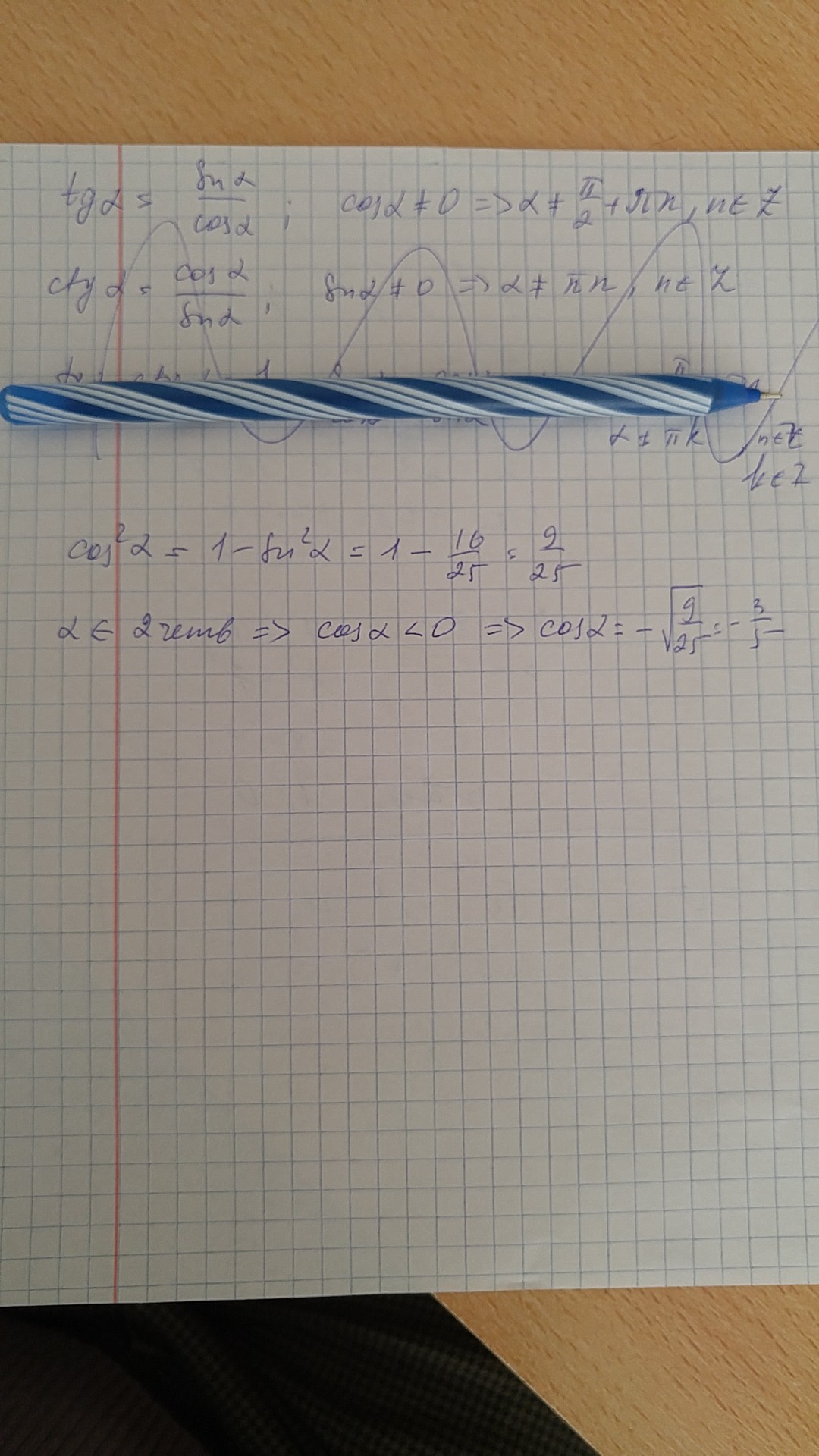
Найти cosα, если sinα=4/5 и 90°<α<180°
В ответе должно быть -3/5
Ответы
Автор ответа:
0
вот так вот так вот так вот
Приложения:
Автор ответа:
0
это уже 2-й вариант вашего решения, он правильнее?
Похожие вопросы
Предмет: Биология,
автор: dinali28
Предмет: Математика,
автор: sofabagenskaa
Предмет: Українська мова,
автор: shevchenkos1009
Предмет: География,
автор: regina20180