Предмет: Математика,
автор: cmetanka78
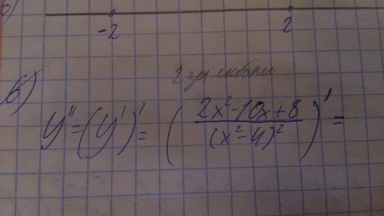
Найти производную с подробным решением( (2x^2 - 10x + 8) / ((x^2 - 4)^2) ).После чего в получившимся выражении приравнять числитель к нулю и решить уравнение.
Приложения:
Ответы
Автор ответа:
0
Производная в файле. Действительные корни уравнения среди делителей свободного члена. Надо найти и затем разделить на (х-х1) получится уравнение второй степени.
Приложения:
Автор ответа:
0
Ответ на фотографиях...
Приложения:
Похожие вопросы
Предмет: Информатика,
автор: vladislavgaryachij03
Предмет: Другие предметы,
автор: Аноним
Предмет: Математика,
автор: 013510
Предмет: Математика,
автор: mishasev265
Предмет: Литература,
автор: oleg336