Предмет: Алгебра,
автор: gangstashit228
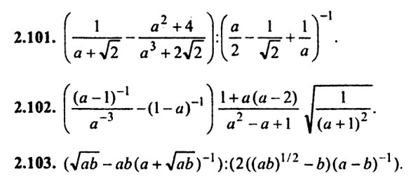
Решить 2.102 - 2.103
Подробно расписать
Приложения:
Ответы
Автор ответа:
0
2,102-2,103=-0,001
примерно так
примерно так
Автор ответа:
0
2,102-2,103=-0,001...............
Похожие вопросы
Предмет: Математика,
автор: kcyxa67
Предмет: Химия,
автор: rozluchserbinys05
Предмет: Геометрия,
автор: Lerka9292
Предмет: Математика,
автор: tatyana0980