Предмет: Алгебра,
автор: Mia549
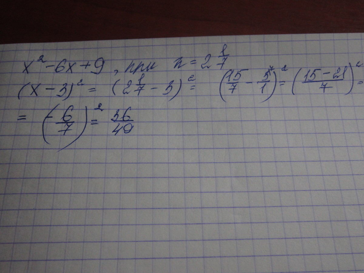
Найдите значение выражения x^2-6x+9 при Х= 2 1/7
Ответ:36/49
НуЖНО рЕшЕНиЕ
Ответы
Автор ответа:
0
Во вложении смотри решение)
Приложения:
Похожие вопросы
Предмет: Қазақ тiлi,
автор: bakbergenovasabina09
Предмет: Литература,
автор: yegorzvyagin
Предмет: Английский язык,
автор: dzononovafiruza
Предмет: Информатика,
автор: Няняша
Предмет: География,
автор: Tiemour