Предмет: Математика,
автор: polinaimasha38
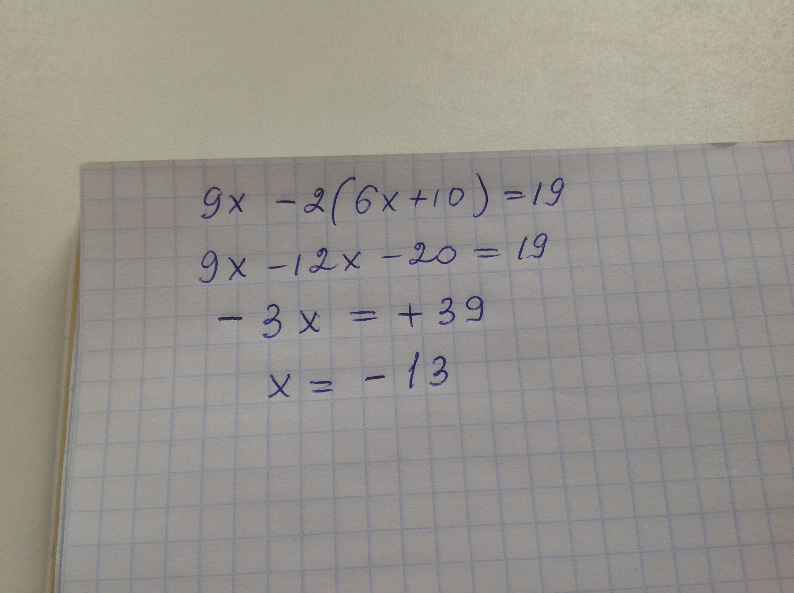
9х-2*(6х+10)=19 уравнение решите пожалуйста срочно!!!
Ответы
Автор ответа:
0
Решение смотри в приложении
Приложения:
Похожие вопросы
Предмет: Литература,
автор: yevmenbl
Предмет: Математика,
автор: lenovo17382986
Предмет: Биология,
автор: nikita57980
Предмет: Биология,
автор: ЦАРЬ2004