Предмет: Алгебра,
автор: tom0456807
Срочно помогите решить,решение если можно сфотографировать
Приложения:
Ответы
Автор ответа:
0
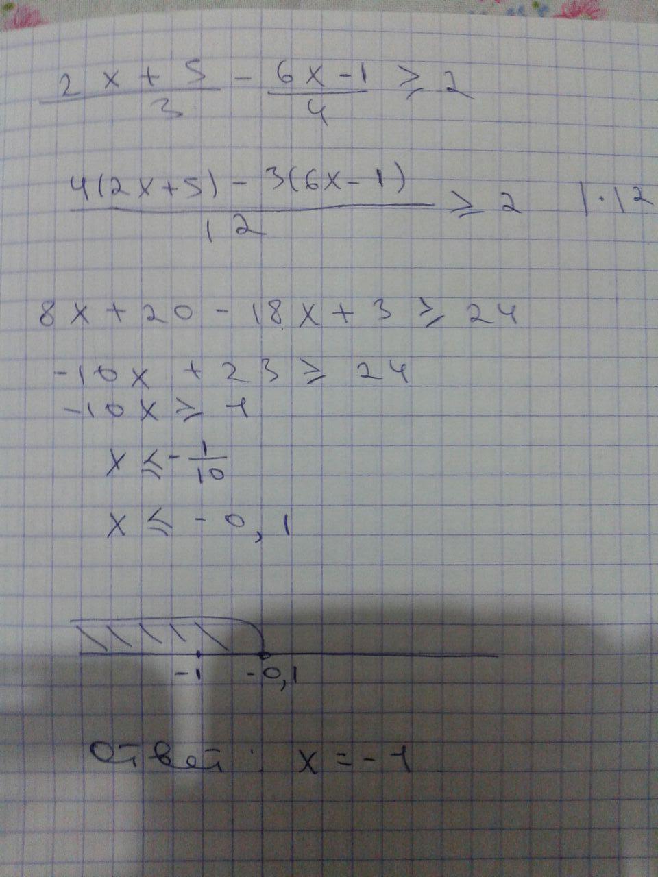
x меньше либо равно -0,1. Следовательно наибольшее целое число x=-1
Приложения:
Похожие вопросы
Предмет: Геометрия,
автор: gulimayissatay12
Предмет: Английский язык,
автор: lerro4ka9
Предмет: Русский язык,
автор: eko006
Предмет: Геометрия,
автор: Tyrist80
Предмет: Химия,
автор: kashubaksyunya