Предмет: Алгебра,
автор: Lylka2012
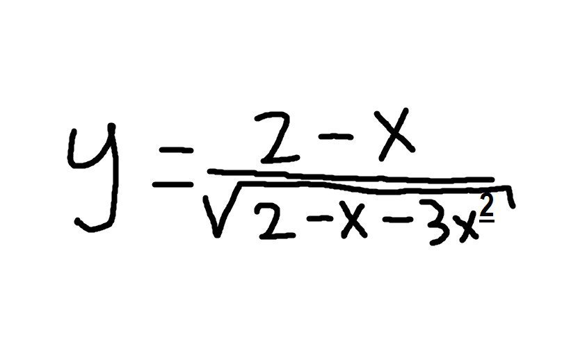
Найти D(f)
Желательно прикрепите скрин где вы решали в паинте:) Но если что можно и так просто написать.
Приложения:
Ответы
Автор ответа:
0
2-х
у = ---------------- ОДЗ 2-х-3х² > 0
√(2-х-3х²)
3x²+x-2=0
D=1+24=25 √D=5
x₁=(-1+5)/6=4/6=2/3
x₂=(-1-5)/6=-6/6=-1
- + -
------- -1 ---⁰--2/3------------
x∈(-1; 2/3)
D(f ) (-1; 2/3)
Автор ответа:
0
Спасибо большое:)
Автор ответа:
0
рада помочь ))
Похожие вопросы
Предмет: Геометрия,
автор: alina0719i
Предмет: Алгебра,
автор: lugadug2019
Предмет: История,
автор: nazarkevicviktoria
Предмет: Математика,
автор: beloglazova200
Предмет: Физика,
автор: ivanovadasha99