Предмет: Алгебра,
автор: Alesja11
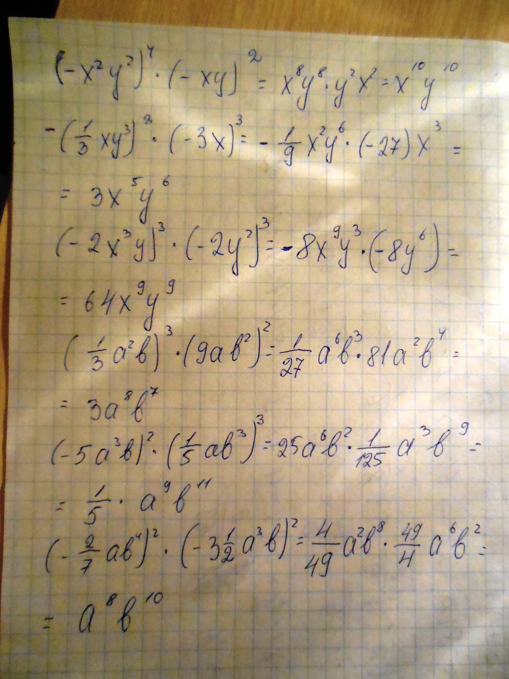
упражнение 600!помогите пожалуйста)
Приложения:
Ответы
Автор ответа:
0
решение в приложении
Приложения:
Похожие вопросы
Предмет: Литература,
автор: Legokruss
Предмет: Математика,
автор: Аноним
Предмет: Математика,
автор: nikitakonovchuk777
Предмет: Литература,
автор: dashaevtushenk