Предмет: Алгебра,
автор: dufyhwhdbb
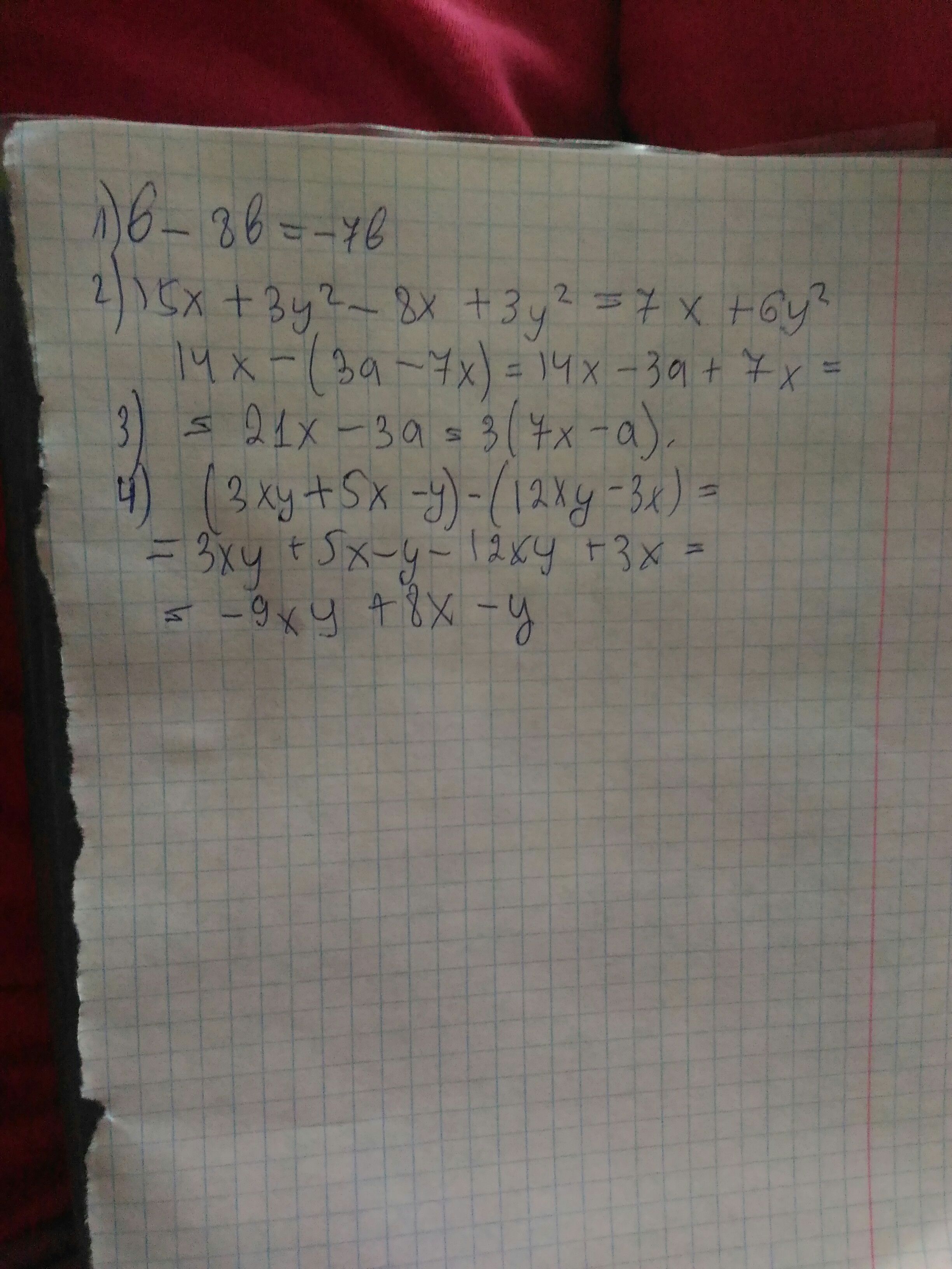
запишите многочлен в стандартном виде:
Приложения:
Ответы
Автор ответа:
0
Вот так)))это точно правильно
Приложения:
Похожие вопросы
Предмет: Математика,
автор: 1wannelij3
Предмет: Математика,
автор: nurkenkazken
Предмет: Русский язык,
автор: zhumabekova2009ajsan
Предмет: Математика,
автор: 221468699237583
Предмет: Геометрия,
автор: НикитаМамурин