Предмет: Алгебра, автор: Спойлер

Доброго дня всем! А у нас алгебра...

 
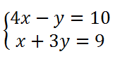
Решите систему уравнений, данную во вложении. Я совсем забыл, как и что. Вроде бы от верхней части нужно отнять нижнюю столбиком? Будьте добры.



 

Приложения:

Ответы

Автор ответа: Матов
0

{4x-y=10

{x+3y=9

 

{x=9-3y

{36- 13y=10

{-13y=-26

{y=2

{x=3

 

 

 

 

 

 

 

 

 

 

 

 

 

 

 

 

 

 

 

 

 

 

 

Похожие вопросы
Предмет: Математика, автор: Аноним
Предмет: Физика, автор: flash77779