Предмет: Алгебра,
автор: shshg
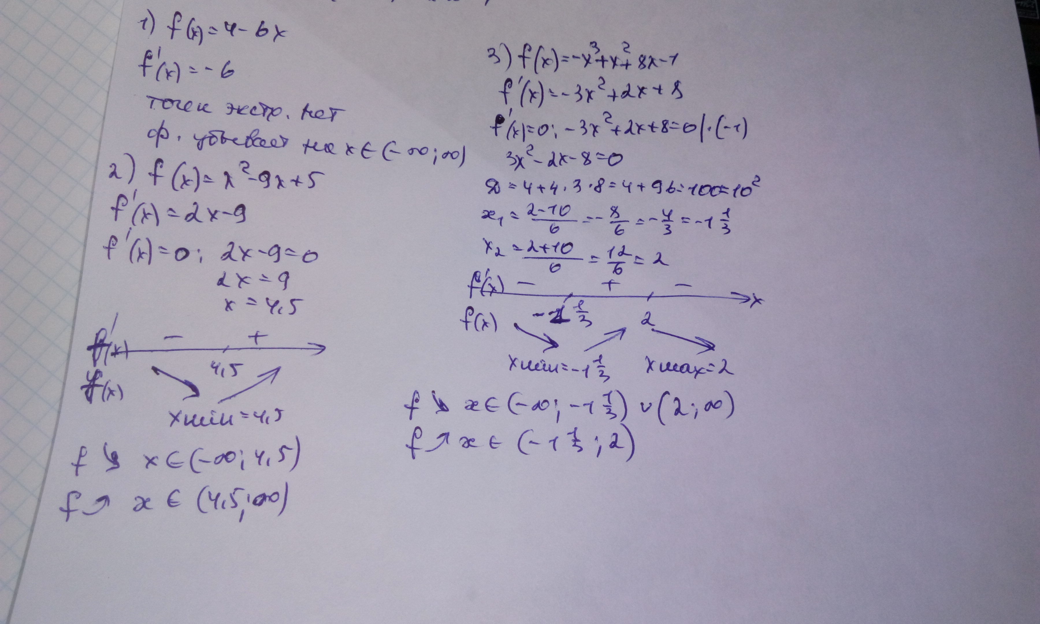
Найдите промежутки возрастания и убывания функции и определите её точки экстремума 1)f(x)=4-6x 2)f(x)=x^2-9x+5 3)f(x)=-x^3+x^2+8x-1
Ответы
Автор ответа:
0
Всё подробно написала в решении.
Приложения:
Автор ответа:
0
большое спасибо вы меня просто выручили
Похожие вопросы
Предмет: Алгебра,
автор: diluc99
Предмет: Алгебра,
автор: belaaevgesa
Предмет: Математика,
автор: stepinaevelina4
Предмет: Физика,
автор: knasova
Предмет: Математика,
автор: romal1