Предмет: Математика, автор: sonicka1

Как решат 3 задание , помогите .

Приложения:

Ответы

Автор ответа: Trover
0
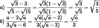
a);frac{sqrt3-3}{sqrt5-sqrt{15}}=frac{sqrt3(1-sqrt3)}{sqrt5(1-sqrt3)}=frac{sqrt3}{sqrt5}=sqrt{frac35}\b);frac{a-2sqrt a}{3sqrt a-6}=frac{sqrt a(sqrt a-2)}{3(sqrt a-2)}=frac{sqrt a}{3}
Приложения:
Похожие вопросы
Предмет: Математика, автор: v1i1k1a119812
Предмет: Биология, автор: MrGrenka