Предмет: Алгебра,
автор: okkarldandy
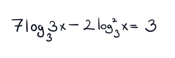
Решите уравнение с логарифмами, пожалуйста! (на картинке)
Приложения:
Ответы
Автор ответа:
0
Всё подробно написала в решении.
Приложения:
Автор ответа:
0
восхищаюсь! спасибо огромное!
Похожие вопросы
Предмет: Алгебра,
автор: arturkassirov45
Предмет: Математика,
автор: ionovak049
Предмет: Русский язык,
автор: valeriia2810169
Предмет: История,
автор: m123456789a