Предмет: Математика,
автор: Bomba30000
Решите уравнение:
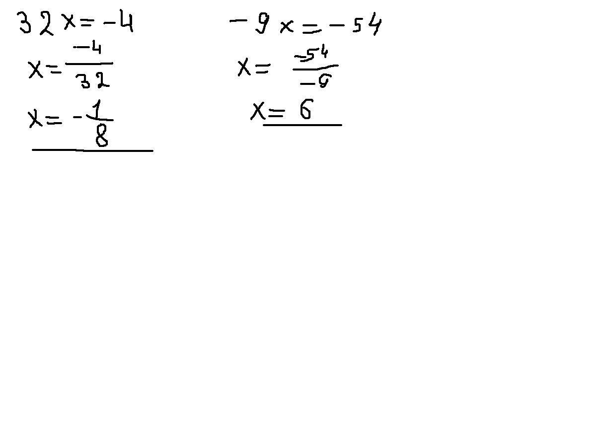
а) 32x равно -4
б) -9x равно -54
Заранее спасибо
Ответы
Автор ответа:
0
.............................................
Приложения:
Автор ответа:
0
32x=-4
x=-4:32
x=-0.125
-9x=-54
x=-54:(-9)
x=6
x=-4:32
x=-0.125
-9x=-54
x=-54:(-9)
x=6
Приложения:
Похожие вопросы
Предмет: Английский язык,
автор: 05054970
Предмет: Биология,
автор: leadersia5566
Предмет: История,
автор: aipaderina
Предмет: Обществознание,
автор: zinenko05