Предмет: Алгебра,
автор: 404DaryaCat
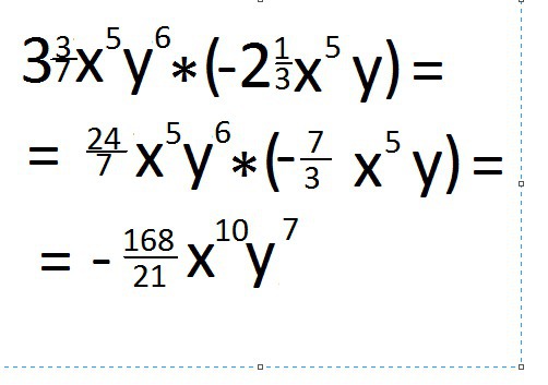
упростите выражения:
а)
б)
Ответы
Автор ответа:
0
надо написать текст длиною в 20 символов что б выложить ответ
Приложения:
Похожие вопросы
Предмет: Математика,
автор: kenangadziev026
Предмет: Математика,
автор: Durcymsks
Предмет: Английский язык,
автор: mikhaylovna06
Предмет: Математика,
автор: hozueva
Предмет: Математика,
автор: beautifann