Предмет: Алгебра,
автор: nastyablognb
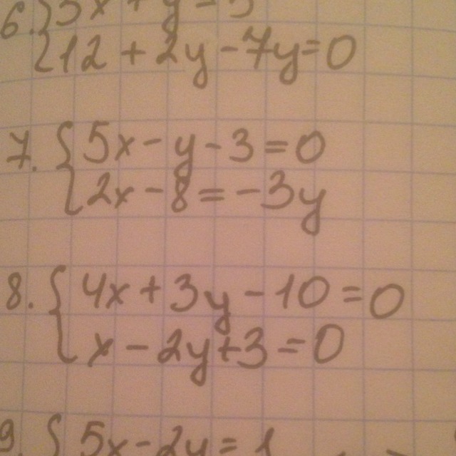
Пожалуйста помогите с 7 и 8! Системы двух линейных уравнений!
Фото решение пжл!!!!!!!
Приложения:
Ответы
Автор ответа:
0
7) 1)5х-у-3=0
-у=-5х+3
у=5х-3
2)2х-8=-3у
2х-8=-3*(-5х+3)
2х-8=15х-9
2х-15х=-9+8
-13х=-1
х=1/13
3)у=5*1/13+3
у=3целых 5/13
8) 1)х-2у+3=0
х=2у-3
2)4х+3у-10=0
4*(2у-3)+3у-10=0
8у-12+3у-10=0
11у=22
у=2
3)х=2*2-3=1
-у=-5х+3
у=5х-3
2)2х-8=-3у
2х-8=-3*(-5х+3)
2х-8=15х-9
2х-15х=-9+8
-13х=-1
х=1/13
3)у=5*1/13+3
у=3целых 5/13
8) 1)х-2у+3=0
х=2у-3
2)4х+3у-10=0
4*(2у-3)+3у-10=0
8у-12+3у-10=0
11у=22
у=2
3)х=2*2-3=1
Похожие вопросы
Предмет: Русский язык,
автор: x13Lera13x
Предмет: Физика,
автор: tasyrovaarailym
Предмет: История,
автор: Аноним
Предмет: Литература,
автор: ПочемучкаНастя