Предмет: Алгебра,
автор: ваня1024
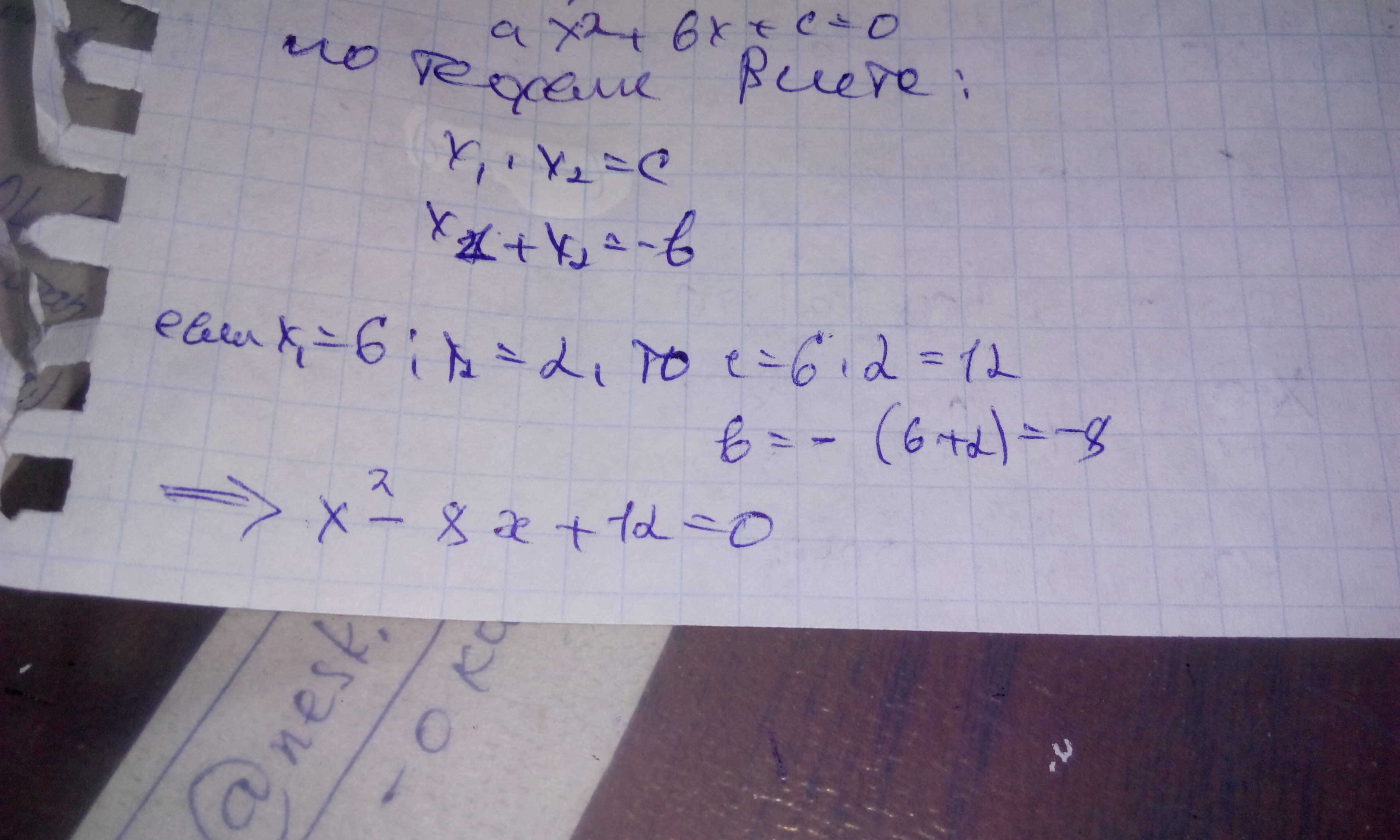
составти квадратное уровнение по его. корням. 6 и 2
Ответы
Автор ответа:
0
Решаем по теореме Виета.
Приложения:
Автор ответа:
0
х²=√6 х²=√2
х²-√6=0 х²-√2=0
х1=√6 х1=√2
х2=-√6 х2=-√2
х²-√6=0 х²-√2=0
х1=√6 х1=√2
х2=-√6 х2=-√2
Приложения:
Похожие вопросы
Предмет: Английский язык,
автор: dimashtolesh2
Предмет: Английский язык,
автор: starostenko474
Предмет: Математика,
автор: matveilevchinskii
Предмет: Биология,
автор: alinachca
Предмет: Алгебра,
автор: maks2000139