Предмет: Алгебра,
автор: babaev002
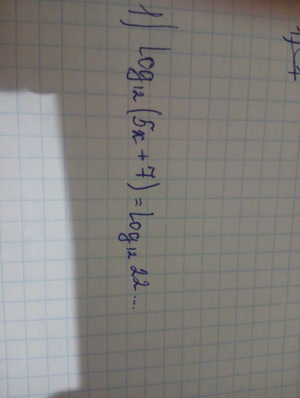
решите пожалуйста уравнение
Приложения:
Ответы
Автор ответа:
0
фото.............................
Приложения:
Автор ответа:
0
это точный ответ?
Автор ответа:
0
если задание правильно написано, то да
Автор ответа:
0
спасибо
Автор ответа:
0
спасиб
Похожие вопросы
Предмет: Русский язык,
автор: taradovataisia
Предмет: Английский язык,
автор: aizhanmuzz20
Предмет: Другие предметы,
автор: kollbaskasaliuamiUwU
Предмет: Математика,
автор: dryabicheva
Предмет: Химия,
автор: ilyaklimentev