Предмет: Алгебра, автор: ник3076

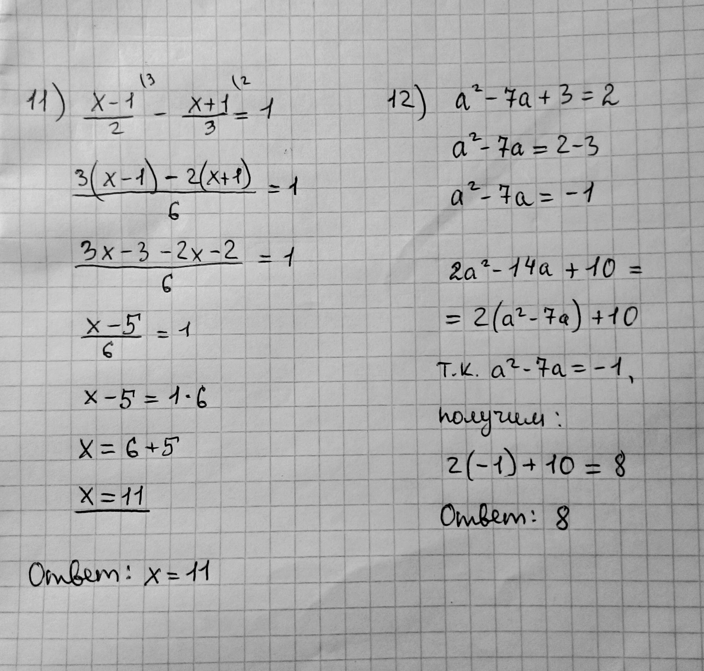
помогите с 11 12 как правельно решать

Приложения:

Ответы

Автор ответа: Wansbe
0
Решение в прикрепленном файле
Приложения:
Похожие вопросы
Предмет: Қазақ тiлi, автор: zhanabayayan
Предмет: Русский язык, автор: Аноним
1.Прочитайте тексты.
Текст 1.
ка
Возобновляемая энергия – это энергия, которую получают из источников, неисчерпаемых по
человеческим меркам. Основной принцип такой энергетики, которую часто называют "зелёной",
заключается в её извлечении из окружающей среды: света солнца, потоков воды, ветра,
приливов и геотермального тепла. Такие источники пополняются естественным путём, поэтому и
называются возобновляемыми.
По этой причине важно отличать возобновляемые источники от альтернативных: хотя атомную
энергию и не относят к традиционной энергетике, уран всё же остаётся исчерпаемым ресурсом.
Сейчас в мире наблюдается бурное развитие ВИЭ (Возобновляемые Источники энергии): в 2015
году они обеспечили около 19,3% всего энергопотребления человечества, и этот показатель
растёт. Уже в 2017 году общая выработка электростанций на возобновляемых источниках
достигла почти 2,2 тысячи гигаватт. Для сравнения, установленная мощность всех
электростанций Казахстана к началу 2019-го была 21,9 гигаватт. При этом порядка 80% всей
энергии у нас вырабатывается на угле.
Текст 2.
Когда-то давно на окраине одного городка жил старик-изобретатель. Он обитал в маленькой
ветхой избушке. Этот старик был одинок жены и детей у него не было, ведь всю свою жизнь он
посвятил созданию хитроумных приборов. И теперь на старости лет у него не было никого, с кем
бы можно было выпить чаю или просто поговорить на какие-нибудь умные темы.
Днем было легче — изобретатель был занят своими изобретениями и сидел за ними, не
поднимая головы, до самого вечера. А вечером, когда солнце уходило за горизонт, одиночество
со всей силой наваливалось на бедного изобретателя. Он затапливал печку, наливал себе чай и
пил его за столом. Казалось, что никогда он не найдёт себе интересного собеседника.
Но был кое-кто, кто спасал изобретателя от одиночества. За печкой у него жил маленький
сверчок. По вечерам сверчок прыгал к изобретателю на стол и смотрел, как тот пьёт чай. Добрый
старик клал перед сверчком кусочек чего-нибудь вкусного, и сверчок ел. А ещё изобретатель
рассказывал сверчку о новых изобретениях и о науке. Так они и проводили свои вечера.
телю всё же хотелось с кем-то поговорить. И тогда он решил сделать своё самое
вставал из-за стола. Через​
Предмет: Литература, автор: anna2711200250
Предмет: Математика, автор: ВоЛкИ1