Предмет: Математика,
автор: nikitasveto
помогите пожалуйста решить.
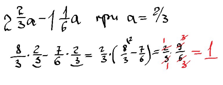
Упростите выражение и найдите его значение при а = 2/3 :
2целые 2/3a-1целая1/6a
Ответы
Автор ответа:
0
вложение смотри ниже ответ
Приложения:
Автор ответа:
0
Спасибо
Похожие вопросы
Предмет: Русский язык,
автор: voronovstas42
Предмет: Биология,
автор: Vvlada0564viva
Предмет: Қазақ тiлi,
автор: maksytkaiii
Предмет: Математика,
автор: 35553555