Предмет: Математика,
автор: Аполина130120011
алгебра(
не получается решение, как бы я его не пыталась выполнить
хелп ми
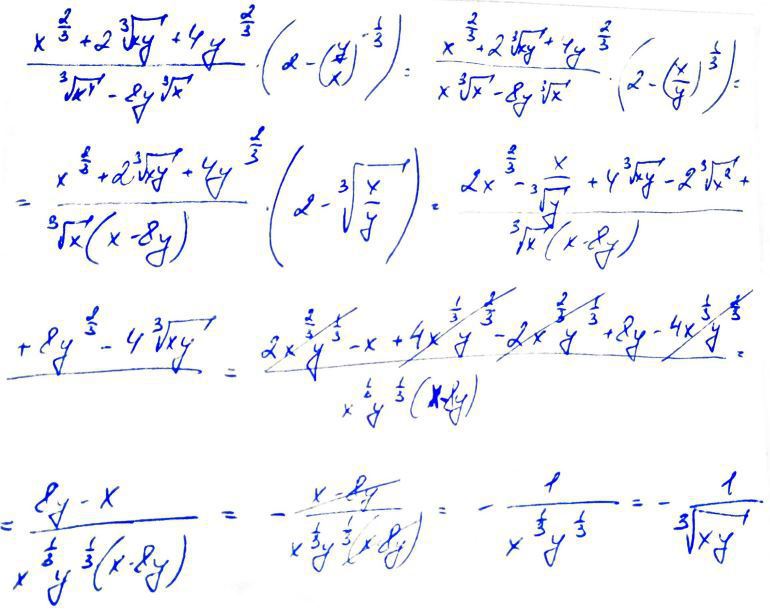
5 задание
Приложения:
Ответы
Автор ответа:
0
решение во вложении ниже
Приложения:
Похожие вопросы
Предмет: История,
автор: Аноним
Предмет: Математика,
автор: elenaorlova9031
Предмет: Қазақ тiлi,
автор: nuraiakhmetova08
Предмет: Математика,
автор: Rusfed100
Предмет: Литература,
автор: Аноним