Предмет: Алгебра,
автор: Параллельность01
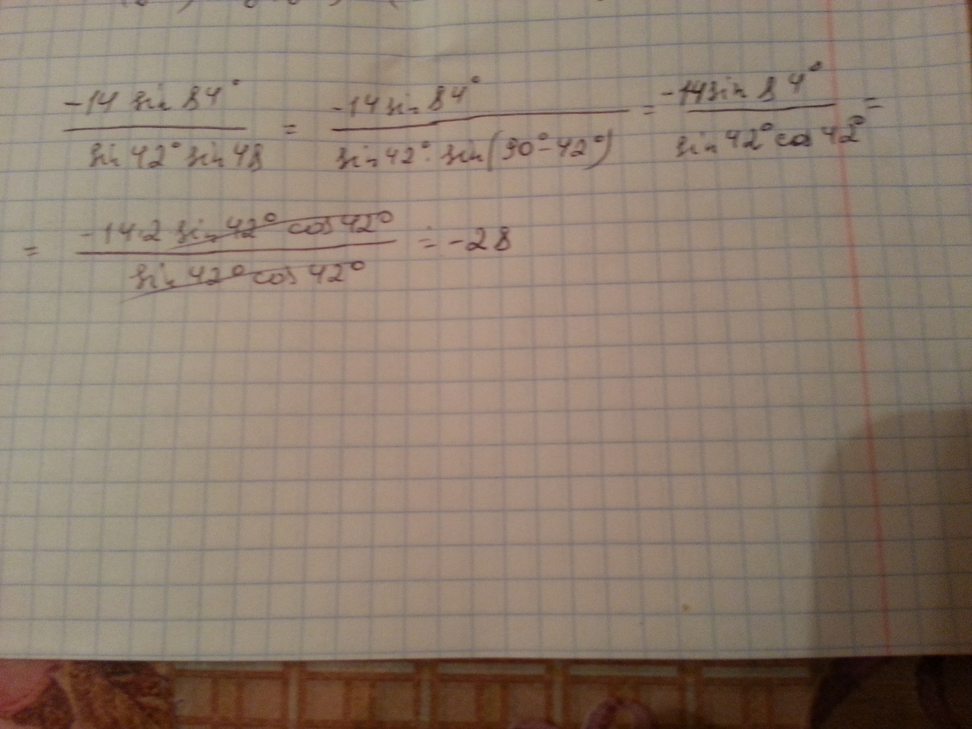
Найдите значение выражения -14 sin84/sin42 sin48
Ответы
Автор ответа:
0
Ответ ответ ответ ответ ответ ответ
Приложения:
Автор ответа:
0
-14sin84/(sin42sin48)=-28sin42cos42//(sin42sin48)=-28sin42/cos48=
=-28sin(90-48)/cos48=-28cos48/cos48=-28
=-28sin(90-48)/cos48=-28cos48/cos48=-28
Приложения:
Похожие вопросы
Предмет: Українська література,
автор: dztdzt382
Предмет: История,
автор: zkili
Предмет: Математика,
автор: arsenby2009
Предмет: Обществознание,
автор: Аноним