Предмет: Алгебра, автор: maret123321

Найти корни уравнений:
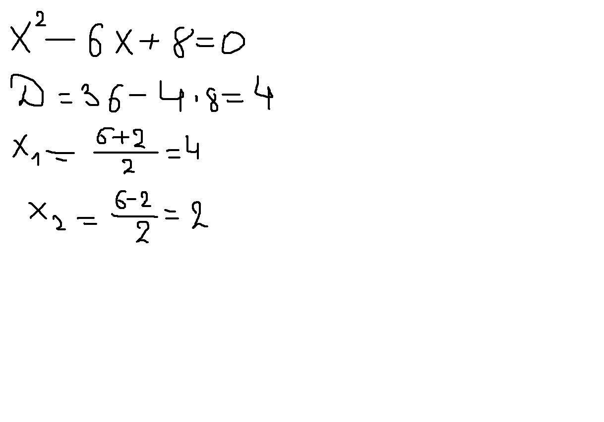
x2-6x+8=0

Ответы

Автор ответа: Darya1805
0
.................................................
Приложения:
Автор ответа: maret123321
0
а можно по точнее
Автор ответа: Darya1805
0
Д=b^2-4ac
Автор ответа: Darya1805
0
D=(-6)^2-4*1*8=36-32=4
Автор ответа: Darya1805
0
x1=-b+корень из D/2а
Автор ответа: Darya1805
0
х2=-b-корень из D/2
Похожие вопросы
Предмет: Литература, автор: geimwata
Задание №1 Прочитайте текст.
Определите тип , жанр и стиль текста.
Озаглавьте текст. Определите основную мысль.
Задание №2 Опираясь на данный текст, напишите статью в блог (130-150) слов) для своих друзей и одноклассников, в которой выразите свою точу зрения ( согласие, несогласие) по данной теме . Используйте в своей работе 2-3 обособленных члена предложения.
Ты молод, ты считаешь себя продвинутым, ночные клубы - наилучшее место, где можно оттянуться после учебы или работы. После - ощущение хорошо проведенного времени, только вот свежего и ясного мышления, как и притока новых сил и энергии не наблюдается.
Ты в курсе, что современную электронную музыку, так же как и рок, психологи относят к агрессивным немедикаментозным наркотическим средствам (влияние последних на организм нет необходимости объяснять)?
Просто несколько фактов:
1. Ученые Центра нейробиологии Калифорнийского университета протестировали студентов из 36 колледжей, пытаясь определить уровень их интеллектуального развития. В течение десяти минут после проведения теста студенты слушали сонату Моцарта для двух фортепьяно до мажор К. 488. Повторное тестирование сразу же после прослушивания показало увеличение IQ на 8-9 баллов!
Правда, примерно через 15 минут, показатели вернулись на прежний уровень, но этот факт позволил ученым предположить, что именно бессмертная музыка явилась причиной временного интеллектуального роста. Другие ученые, занимающиеся подобными исследованиями, также убеждены в волшебной силе музыки, способной при регулярном прослушивании вызвать устойчивое повышение IQ.
Один из исследователей феномена воздействия музыки, Гордон Шоу, высказал предположение, что сложная музыка каким-то образом питает и отделы мозга, ответственные за абстрактное мышление, - отделы, не имеющие прямого отношения к восприятию звуков и мелодий.
2. Болгарский психолог Георгий Лозанов вместе со своим коллегой доктором Алеко Новаковым занимался исследованиями, пытаясь определить, в какой степени музыка влияет на процесс обучения.
К этому времени американские ученые Линн Купер и Милтон Эриксон уже обнаружили, что у людей, слушающих звуки метронома в ритме 60 ударов в минуту, наступает "альфа-состояние" - идеальное для обучения и запоминания.
Не зная об этом факте, Лозанов и Новаков, совершенно независимо от американских учёных, сделали аналогичное открытие, но используя медленную музыку барокко с ритмическим размером 60-64 такта в минуту.
Жанр барокко был очень распространен в Европе с 1600 по 1750 год.Его популярность прошла после смерти одного из самых выдающихся композиторов и исполнителей - Иоганна Себастьяна Баха. Для музыки барокко характерны богатая звуковая палитра гамм и четкий ритм. Лозанов и Новаков открыли, что под воздействием музыки барокко информация воспринимается и усваивается так же эффективно, как и при обучении во сне.
Это открытие вскоре привело к разработке нового метода. Согласно его условиям, информация - например, фразы на иностранном языке - представляется с интервалом в четыре секунды на фоне музыки барокко в ритме 60 тактов в минуту. Первые же результаты показали, что студенты усваивают от 60 до 500 иностранных слов в день.
Специалисты из Университета штата Айова решили проверить предложенный метод и вскоре добились успеха: на фоне музыки барокко у участников эксперимента наблюдался рост способности запоминания на 26 %, а скорости обучения - на 24 %.
3. Как считал доктор Алфред Томатис, член Французской академии медицинских наук, ключевую роль в электроподзарядке мозга играют уши.
Когда электрический потенциал мозга начинает ослабевать, мы испытываем усталость и тупеем на глазах. Как и батареи, клетки мозга должны время от времени подзаряжаться.
Томатис открыл, что одним из способов подзарядки является прослушивание высокочастотных звуков - 5000-8000 Гц. Согласно Томатису, вибрация клеток Карти - волосковых сенсорных клеток внутреннего уха - действует как своеобразный генератор мозга.
Путем многолетнего анализа Томатис пришел к выводу, что музыка Моцарта содержит наибольшее число звуков нужного частотного диапазона, ну а тяжелый рок и - наименьшее. Также он рекомендует в целях подзарядки мозга слушать музыку барокко и григорианские песнопения.
P.S. Альберт Эйнштейн впервые взял в руки скрипку в шестилетнем возрасте. К тому времени, когда ему исполнилось 14, он исполнял сонаты Бетховена и Моцарта и долгими часами импровизировал на фортепьяно.
На протяжении всей жизни Эйнштейн оставался страстным скрипачом, обращаясь к музыке во время творческих застоев. О своих увлечениях музыкой и физикой он говорил: "Оба они имеют один источник и дополняют друг друга..." Не исключено, что необычайно мощный интеллект Эйнштейна является результатом любви к классике.​