Предмет: Алгебра,
автор: buzaeva2013
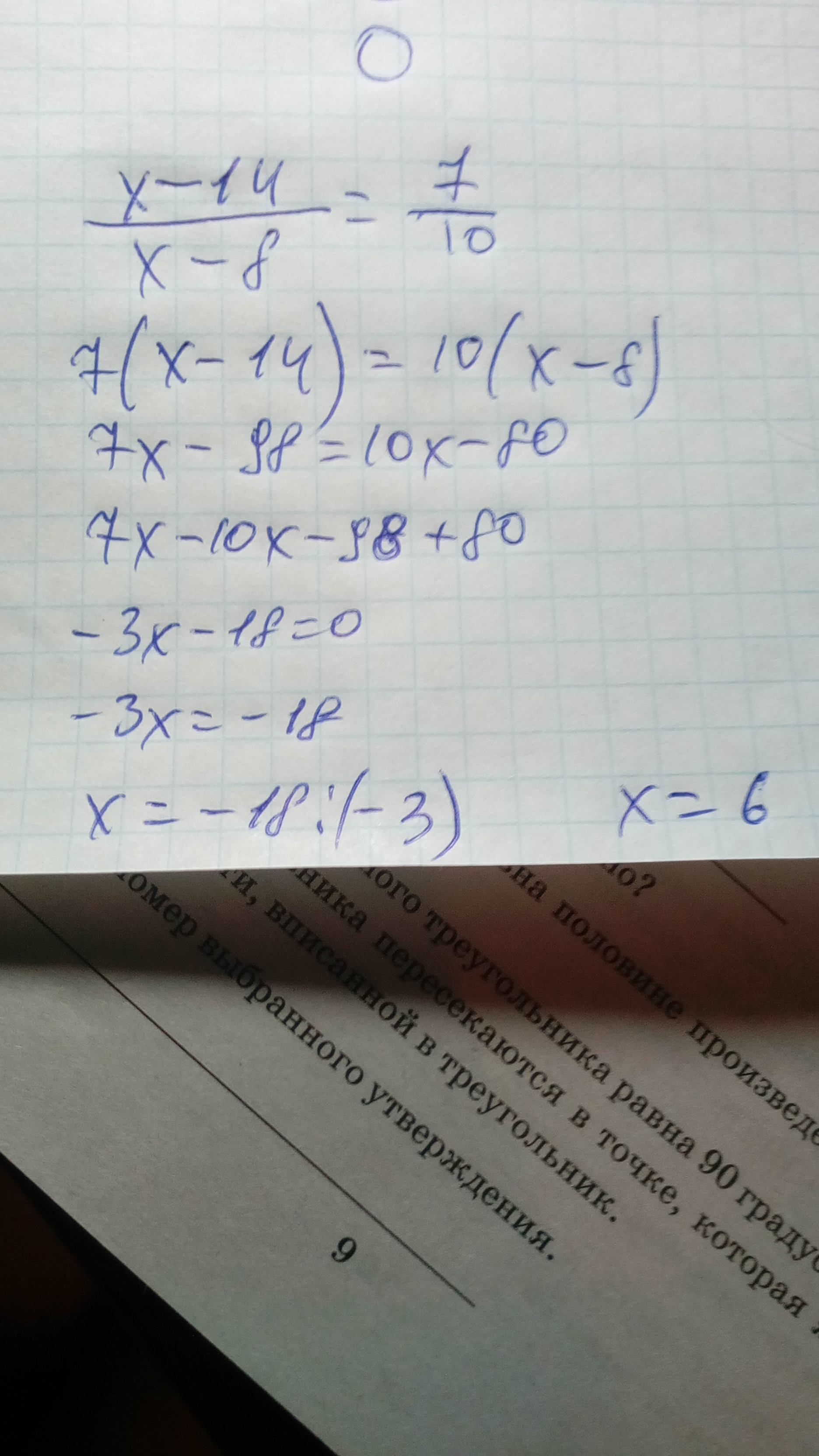
решить уравнение х-14/х-8=7/10
Ответы
Автор ответа:
0
7(x-8)=10(x-14)
7x-56=10x-140
7x-10x=56-140
-3x=-84
x=28
7x-56=10x-140
7x-10x=56-140
-3x=-84
x=28
Автор ответа:
0
Крест на крест обычное уравнение
Приложения:
Похожие вопросы
Предмет: Биология,
автор: bakyt78bakyt54
Предмет: Алгебра,
автор: ffffbjffjjjcdgj
Предмет: Музыка,
автор: afanasevatamara77
Предмет: Математика,
автор: slinchakdima
Предмет: География,
автор: KatherinePirs