Предмет: Математика,
автор: 86vovan86777
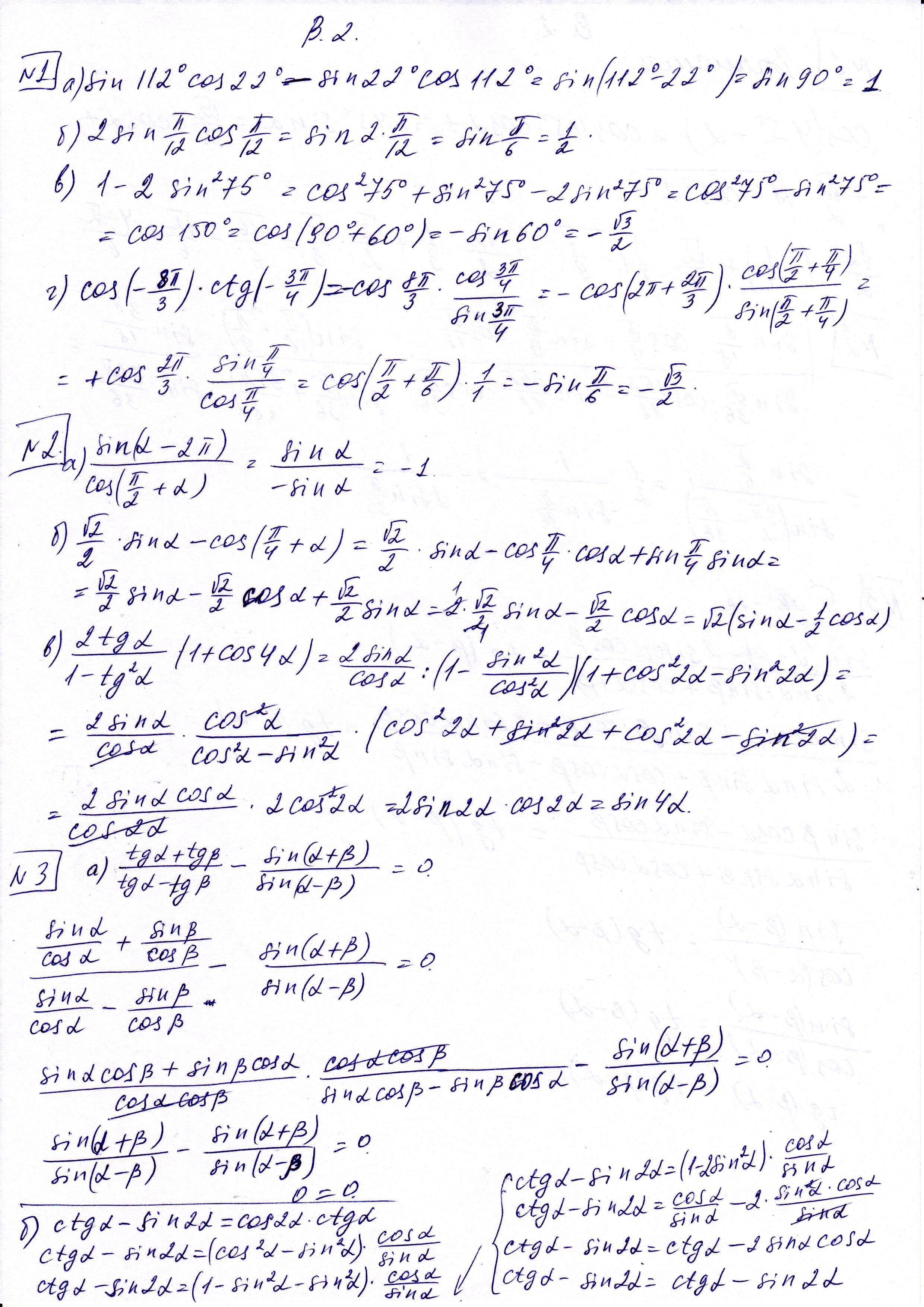
Помогите, пожалуйста, кто чем может))) (2 вариант)
Приложения:
Ответы
Автор ответа:
0
Четкость, надеюсь, нормальная.
Приложения:
Автор ответа:
0
СПАСИБО ТЕБЕ БОЛЬШОЕ!!!!
Автор ответа:
0
Пожалуйста. Если есть вопросы, объясню.
Автор ответа:
0
http://znanija.com/task/21508424 можете помочь с этим (хотя бы отчасти)
Похожие вопросы
Предмет: Русский язык,
автор: kakadijs
Предмет: Алгебра,
автор: Anita479098666
Предмет: Физика,
автор: elkinaam
Предмет: Математика,
автор: gacukovad2003
Предмет: Алгебра,
автор: русская25